Logo Passei Direto
Buscar
Material
páginas com resultados encontrados.
páginas com resultados encontrados.

Prévia do material em texto

CHAPTER 18 675 
 
not have any benzylic protons, so no bromine atoms are 
installed in that location. Only the methyl group 
undergoes benzylic bromination (exhaustively), as 
shown: 
 
 
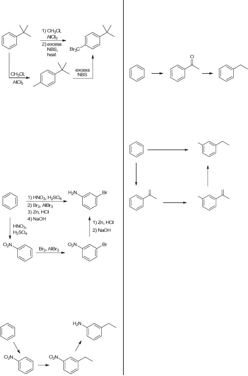
18.53. 
(a) Installation of the amino group requires a two-step 
process (nitration, followed by reduction), while 
installation of the bromine atom can be achieved in just 
one step. 
Now let’s consider the order of events. These two 
groups must be installed in a meta fashion, but both 
groups are ortho-para directors. Installation of these two 
groups (in either order) does not appear to give the 
desired meta substitution pattern. However, recall that 
installation of the amino group requires two steps. The 
first step is nitration, and a nitro group is a meta-director. 
So, we can achieve the desired transformation by 
performing the bromination process after the nitration 
process but before the reduction process, as shown here: 
 
 
 
(b) Installation of the amino group requires two steps 
(nitration, followed by reduction), while installation of 
the ethyl group can be achieved in just one step (via a 
Friedel-Crafts alkylation). The substituents must be 
installed in a meta fashion, yet both substituents are 
ortho-para directors. To circumvent the problem, we 
consider utilizing the meta-directing effects of the nitro 
group to achieve the desired regiochemical outcome: 
 
 
However, this strategy will not succeed because the 
middle step is flawed. Specifically, a Friedel-Crafts 
alkylation cannot be performed on a strongly deactivated 
ring (such as nitrobenzene). Therefore, we must find 
another way to install the two groups in a meta fashion. 
The trick that we used in the solution to Problem 19.57a 
can be used here again. That is, we install the ethyl 
group via a two-step process (Friedel-Crafts acylation, 
followed by reduction): 
 
 
By installing the ethyl group in this way, we can 
capitalize on the directing effects of the carbonyl group, 
before reducing it. As seen below, a Friedel-Crafts 
acylation installs an acyl group, which is a meta-director. 
Subsequent nitration allows for the installation of a nitro 
group in the meta position. And finally, reduction (of 
both groups) gives the product, as shown. 
 
H2N
1) CH3COCl, AlCl3
2) HNO3, H2SO4
3) HCl, Zn(Hg), heat
CH3COCl, AlCl3
O
HNO3,
O
O2N
1) HCl, Zn(Hg), heat
H2SO4
2) NaOH
4) NaOH
 
 
18.54. 
(a) The second step of the synthesis will not work, 
because a strongly deactivated ring will not undergo a 
Friedel-Crafts alkylation. The product of the first step, 
nitrobenzene, will be unreactive in the second step. 
(b) The second step of the synthesis will not efficiently 
install a propyl group, because a carbocation 
rearrangement can occur, which can result in the 
installation of an isopropyl group. A mixture of products 
is expected. 
(c) The second step of the synthesis will not install the 
acyl group in the meta position. It will be installed in a 
position that is either ortho or para to the bromine atom. 
(d) The second step of the synthesis will not install the 
bromine atom in the ortho position, because of steric 
hindrance from the tert-butyl group. Bromination will 
occur primarily at the para position. 
 
18.55. 
(a) This compound has two aromatic rings, each of 
which is monosubstituted. One aromatic ring (left) is 
connected directly to a carbonyl group and is therefore 
deactivated. The other aromatic ring (right) is connected 
to a methylene group (CH2) and is therefore activated 
(the substituent is treated like an alkyl group). So, we 
expect monobromination to occur on the activated ring. 
www.MyEbookNiche.eCrater.com

Mais conteúdos dessa disciplina