Logo Passei Direto

Matematica ejercicios resueltos (1)

Material
¡Estudia con miles de materiales!

Vista previa del material en texto

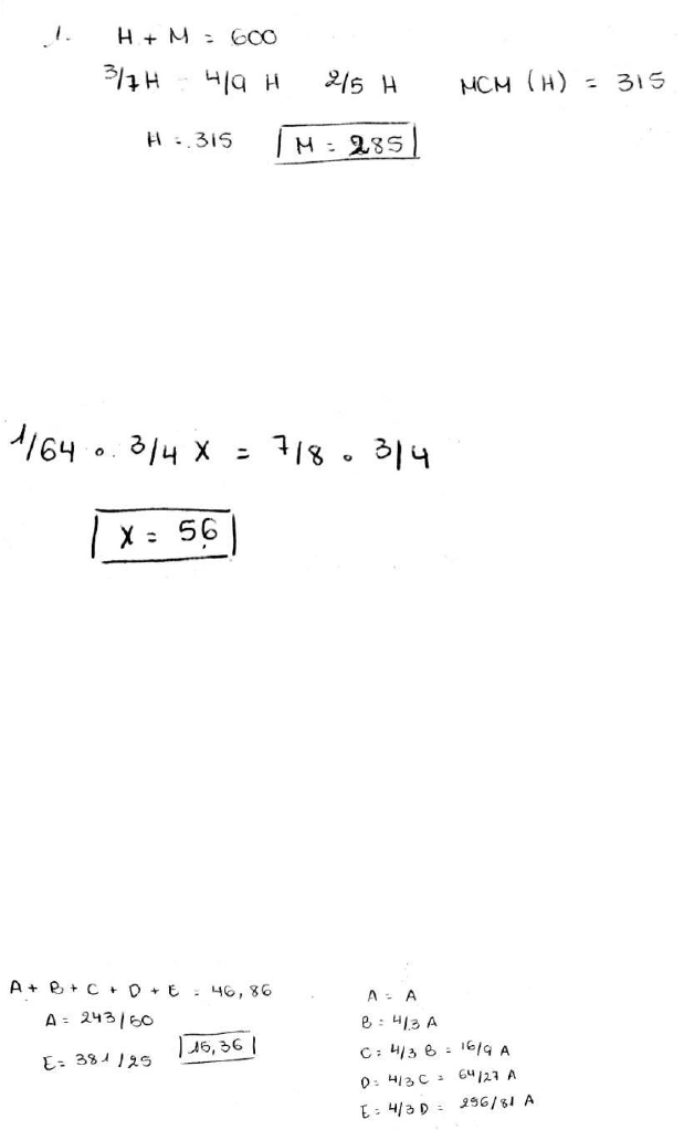
1. En un congreso participaron 600 personas. De los asistentes varones, se ha 
podido observar que los 3/7 eran abogados, los 4/9 eran médicos y los 2/5 eran 
economistas. ¿Cuántas damas asistieron al congreso? 
R: 285 
 
 
2. La colilla de un cigarro es 1/4 del cigarro. Un fumador consume los 7/8 de la 
parte fumable y en cada pitada consume 1/64 de la parte fumable. ¿Cuántas 
pitadas da el fumador? 
R: 56 
 
 
 
 
 
3. A un alambre de 46,86 m de longitud se le hizo 4 cortes, de manera que la 
longitud de cada trozo es igual a la del inmediato anterior, más 1/3 de dicha 
longitud. Halla la longitud del trozo más grande. 
R: 15,36 m 
 
 
 
 
4. Una bomba demora 10 horas 25 minutos para llenar un reservorio. Cuando el 
tanque está lleno hasta 1/5 se malogra y su rendimiento disminuye en 1/3. 
¿Cuánto tiempo tardará ¡a bomba para llenar el reservorio? 
R: 14h35min 
 
 
5. De un depósito lleno de alcohol se retira un séptimo de su contenido y se le 
reemplaza por agua; luego se vuelve a retirar un séptimo de esta mezcla y se le 
reemplaza por agua, la cantidad de alcohol puro que aún queda excede en 20 L 
a los dos tercios de la capacidad del depósito. Calcular esta capacidad. R: 294 
 
 
6. Dos caños llenan un tanque en 10 horas, ¿cuánto tiempo empleará uno de ellos 
solo, si el otro puede llenarlo en 18 horas? 
R: 22 h 30min 
 
 
7. El denominador de una fracción excede al numerador en una unidad. Si se 
agrega a ambos miembros de la fracción una unidad, la nueva fracción excede a 
la original en 1/72. ¿Cuál es la fracción original? 
R: 7/8 
 
 
8. En un puesto de frutas había cierto número de naranjas. Un cliente compró los 
3/5 de las naranjas que había más 4 naranjas; otro cliente compró los 4/9 de las 
que quedaban y 2 más; un tercer cliente compró la mitad de las que quedaban 
y 7 más, quedando finalmente 2 naranjas. ¿Cuántas naranjas había en el puesto 
inicialmente? 
R: 100 
 
 
9. En una reunión hay hombres y mujeres, siendo el número de hombres al 
número de personas como 3 es a 8 y la diferencia entre los números de 
hombres y mujeres 24. ¿Cuál será la relación entre hombres y mujeres si se 
retiran 33 mujeres? 
R: 4/3 
 
 
 
 
10. Si Manuel le da a Pedro 10 m de ventaja para una carrera de 100 m y Pedro le 
da a Carlos una ventaja de 20 m para una carrera de 180 m, ¿cuántos metros de 
ventaja debe dar Manuel a Carlos para una carrera de 200 m? R: 40 
 
 
 
 
 
 
11. En una discoteca se observa que por cada 8 mujeres había 5 hombres, además 
el número de mujeres excede al número de hombres en 21. ¿Cuál será la nueva 
relación de hombres a mujeres si se retiran 14 parejas? 
R: 2 
 
 
 
12. La edad de un padre es tres veces mayor que la de su hijo; si dentro de 10 años 
la suma de sus edades será 120 años, hallar la edad del padre. R: 80 
 
 
 
13. En una competencia de 1600 m A le ganó a B por 400 metros y B le ganó a C por 
100 m. ¿Por cuántos metros le ganó A a C? 
R: 475 
 
 
 
 
 
14. Para elegir los nuevos dirigentes de un club se presentan dos listas: A y B, 240 
socios se hacen presentes para votar. En una votación de sondeo inicial la 
elección favorece a B en la proporción de 3 a 2, pero en la votación legal ganó A 
en una proporción de 5 a 3. ¿Cuántos que votaron ¡inicialmente por B 
cambiaron por A? 
R: 54 
 
 
15. De una canasta llena con manzanas se observó que el peso de todas las 
manzanas es al peso total como 3 a 4; si se vendieron 5 manzanas, la nueva 
relación es de 2 a 3. ¿Cuántas manzanas quedaron luego de ello, si cada una 
pesa 60 g? 
R: 10 
 
 
 
16. En un recipiente de 30 litros y otro de 74 litros, ¿cuántos litros deben ser 
transferidos del segundo recipiente al primero de manera que los contenidos se 
encuentren en la razón de 3:5? 
R: 9 
 
 
 
 
17. Hugo, Luis y Paco han hecho 234 m de una zanja, el rendimiento de Hugo es el 
120% del de Luis y el de Paco es el 140% del de Luis. ¿Cuántos metros hizo 
Paco? 
R: 91 
 
 
 
18. El rendimiento de dos hermanos es como 1 a 4. Si juntos hacen un trabajo en 
80 días. ¿Cuánto tiempo se demorará el más rápido en hacer solo el trabajo? R: 
100 
 
 
 
19. Una guarnición de 1800 hombres tiene víveres para 3 meses a razón de 0,5 kg 
de comida diaria. Debido a que la guarnición se incrementó en un cierto 
número de hombres la ración se debe disminuir a 0,4 kg de comida diaria. ¿A 
cuántos kilogramos debería reducirse dicha ración para que los víveres duren 
un mes más? 
R: 0,3 
 
 
20. Tres motores, trabajando durante 15 días a razón de 10 horas diarias consumen 
en total 25 galones de petróleo. ¿Cuántas horas diarias menos deben funcionar 
los motores sabiendo que se utilizarán 6 motores durante 20 días y sólo se 
dispone de 18 galones de gasolina? 
R: 7,3 
 
 
21. Un grupo de 50 obreros pueden terminar una obra en 4 semanas. Al cabo de 4 
días de trabajo se aumenta cierto número de obreros, de modo que en 16 días 
más terminaron lo que faltaba de la obra. La cantidad de obreros que se 
incorporaron es: 
R: 25 
 
 
 
22. Se contrataron 25 obreros para que terminen una obra en 21 días trabajando 8 
horas diarias. Luego de 6 días se acordó que la obra quede terminada 5 días 
antes del plazo establecido. ¿Cuántos obreros más se tuvieron que contratar, 
sabiendo que se Incrementó en 2 h el trabajo diario? 
R:5 
 
 
23. Olga tiene caramelos en 4 bolsitas. En una de las bolsas hay 10 caramelos y en 
cada una de las otras tres bolsas hay X caramelos. Olga come 3X caramelos de 
la primera, y 2 caramelos de cada una de las otras tres bolsas. ¿Cuántos 
caramelos le quedan a Olga? 
R: 4 
 
 
24. El plano de un terreno rectangular correspondiente a una reserva forestal, de 
78 km de perímetro. Se divide en 11 parcelas rectangulares idénticas cuyos 
perímetros suman 242 km. ¿Cuál es el área de la reserva? 
R: 308 km 
 
 
25. El volumen de un paralelepípedo rectángulo es 2 013m^3 y sus dimensiones 
son números enteros mayores que uno. ¿Cuál es la mayor área que puede 
tener una de sus caras? 
R: 671m^2 
 
 
26. En una lista de cinco números, el primer número es 2 y el último número es 12. 
El producto de los tres primeros números es 30, el producto de los tres 
números del medio es 90 y el producto de los últimos tres números es 360. 
¿Qué número está en el centro de la lista? 
R: 5 
 
 
 
 
 
27. Una persona va al casino juega un total de 10 juegos, el premio al ganar es el 
150% de la apuesta ¿cuál es la probabilidad de que regrese a su casa con una 
pérdida de 250$ si la probabilidad de ganar es del 30% y la apuesta en cada 
juego es de 100$? 
R: 0,2668 
 
 
28. Juan juega un total de 15 partidas un juego donde la posibilidad de ganar es del 
20%. Cada vez que gana una partida recibe 100$, cada vez que pierde debe de 
pagar 75$. ¿Cuál es la probabilidad de que al final de los 15 juegos gane un 
total de 100$? 
R: 0,013819 
 
 
29. En un barco hay 9 hombres por cada 6 mujeres y en total 630 tripulantes. Al 
llegar al callao deben bajar 60 hombres y 30 mujeres. ¿Cuál será la nueva 
relación entre hombres y mujeres que quedan en el barco? 
R: 53/37 
 
 
 
 
 
30. Rebeca y sus 7 amigas tienen en promedio 7 canicas, si ninguna de sus amigas 
tiene menos de 5 ¿cuántas canicas como máximo tiene rebeca? R: 21 
 
 
31. El promedio de notas de un grupo de alumnos es 16, pero si luego del examen 
de recuperación una tercera parte incremento un punto y otra tercera parte en 
dos puntos y la última tercera parte en tres puntos. ¿Cuál será el nuevo 
promedio de notas? 
R: 18 
 
 
32. Si 18 obreros realizan la construcción de una casa en 50 días. ¿En cuántos días 
la harán, si 10 obreros aumentan su rendimiento en 20%? 
R: 45 
 
 
 
 
 
 
33. Se tienen dos capitales y se sabe que21 veces uno de ellos es 10 veces el otro 
capital. Se han colocado al 6% y 8%. Si los capitales e intereses suman s/. 
105260 al cabo de 10 años y 6 meses. Encontrar la diferencia de los capitales 
R: 22000 
 
34. El producto del primer y el último término de una progresión geométrica es 
2704 hallar el término central 
R: 52 
 
 
35. Si la suma de los cuadrados de 2 números es a la diferencia de los cuadrados de 
los mismos, como 29 es a 21. ¿Qué porcentaje del mayor es el menor? 
R: 40% 
 
 
36. Determinar el menor número N de chocolates, que se puede repartir entre un 
grupo de niños sabiendo que: al darles 3, 4 ó 5 a cada uno siempre sobra un 
chocolate pero si les damos 7 no sobra nada. 
R: 301 
 
 
37. Hoy (21 de marzo de 2013) es el cumpleaños de Juan y su hijo. Juan multiplicó 
su edad por la edad de su hijo y obtuvo el resultado 2 013.¿En qué año nació 
Juan? 
R: 1952 
 
 
38. Se tienen las siguientes sucesiones: 3; 8; 13; 18;… y 5; 12; 19; 26;… ¿Cuál es el 
cuarto término común de ambas sucesiones? 
R:138 
 
 
 
 
 
 
39. Un gato capturó 12 peces en 3 días. Cada día, después del primero, capturó 
más peces que el día anterior. En el tercer día, capturó menos peces que en los 
dos primeros días juntos. ¿Cuántos peces capturó el tercer día? R: 5 
 
 
40. Un hombre y una mujer pueden hacer un trabajo en 14 días. Determine el 
tiempo necesario para que dos hombres y una mujer puedan hacer un trabajo 4 
veces considerable, sabiendo que el trabajo de un hombre y el de una mujer 
están en la relación de 3 a 2. 
R: 35 
 
 
41. Marcos tiene 96 canicas distribuidas en tres bolsas y dice: “Si trasladará de la 
bolsa azul a la bolsa roja tantas canicas como contiene ésta última; luego, haría 
lo mismo de la bolsa roja a la verde y finalmente lo mismo de la verde a la azul, 
me quedaría la misma cantidad en las tres bolsas”. ¿Cuántas canicas hay en la 
bolsa azul? 
R: 44 
 
 
42. Se tiene una urna vacía y se lanza una moneda al aire. Si sale cara, se introduce 
en al urna una bola blanca, si sale cruz, se introduce una bola negra. El 
experimento se repite tres veces y a continuación se extrae una bola. ¿Cuál es 
la probabilidad de que en la urna queden una bola blanca y otra negra? 
R: 0,5 
 
 
 
 
43. En una biblioteca pública 1/3 de los volúmenes son de literatura infantil y los 
2/5 de poesía. Del resto, 7/11 son de historia y quedan sin clasificar 768 libros. 
¿Cuántos libros hay en total? 
 
R: 7 920 
 
 
 
44. Ana comparte el agua de su balde con rosa y esta con Lucy. Si lo que le dio Ana 
a rosa es a lo que no le dio como 4 es a 5, y lo que dio rosa a Lucy es a lo que no 
le dio como 5 es a 4. ¿En qué relación se encuentra lo que no le dio Ana a rosa y 
lo que recibió Lucy? 
 
R: 9/4 
 
 
 
45. El precio de un artículo subió en junio 2/7, en julio se incrementó en 2/3 y en 
agosto aumentó en 3/5. ¿Cuál es el incremento que ha sufrido en los tres 
meses dicho artículo? 
R: 17/7 
 
 
 
 
46. En un recipiente hay una mezcla de 24 litros de agua con 48 litros de vino. Se 
extrae 1/3 de la mezcla y se reemplaza con 20 litros de agua, luego se extrae 
1/4 de la mezcla y se reemplaza con 5 litros de agua, finalmente se extrae 1/8 
de la mezcla.Calcular la diferencia entre los volúmenes de agua y vino en la 
mezcla final. 
R: 7 
 
 
47. La familia Barreto tienen hijos e hijas. Cada una de las 3 hijas tiene 2 hermanos 
varones . ¿Cuántas personas componen la familia Barreto? 
R:7 
 
 
48. Una señorita tiene el hábito de lavarse la cabeza diariamente, utilizando la 
misma cantidad de champú. Después de 20 días observa que ha consumido la 
cuarta parte del frasco, 25 días más tarde verifica que aún le quedan 105 cm3. 
¿Qué cantidad de champú consume diariamente en cada lavado de cabeza? 
R: 3 cm3 
 
 
 
 
49. En una carrera de 200 metros Ana le gano a Vero por 20 metros. En una carrera 
de 180 metros Vero le gano a Rebeca por 30 metros. ¿Por cuantos metros 
ganara Ana a Rebeca en una carrera de 400 metros? 
R: 100m 
 
 
50. Una progresión aritmética y otra geométrica tiene por primer término 3; sus 
terceros términos son iguales y la diferencia entre sus segundos términos es 6. 
Hallar la suma de los términos de la progresión geométrica. 
R: 39 
 
 
51. Matías le suma un número natural 2 012, y el resultado es divisible por 73.Juan 
le suma otro número natural a 2 012, y su resultado también es divisible por 73. 
Si los números de Matías y Juan son los menores posibles, ¿cuál es la suma de 
dichos números? 
R: 137 
 
52. De un tablero de 1200 cm2 se cortan dos piezas cuadradas, una de ellas con 5 
cm más de lado que la otra. Si las tiras de madera que sobran miden 83 cm2 
¿cuánto miden los lados de la pieza cuadrada cortada de menor tamaño? 
R: 21 
 
53. Se sabe que en una división entera el divisor es 50 y el residuo es 15. ¿Cuántas 
unidades como mínimo se le debe disminuir al dividendo, para que el cociente 
disminuya en 13 unidades? 
R: 616 
 
54. En una granja, el número de patos es el menor número de 4 cifras. Si los patos 
se acomodan en jabas de 12; 18; 24 o 30 patos, sobran 10; 4; 10 y 28, 
respectivamente. ¿Cuántos patos quedan, si se venden 8 quincenas? 
R: 1018 
 
55. Un señor cuenta su dinero Si lo cuenta de 5 en 5 le sobran 3; de 6 en 6 le 
sobran 4; de 7 en 7 le sobran 5, pero si lo cuenta de 8 en 8 no le sobra nada. 
¿Cuánto tenía, si la cantidad estaba comprendida entre 3 000 y 4 000? 
R: 3568 
 
56. En una avenida que posee cuadras de 100m cada una, se desea plantar árboles 
de manera que en cada cuadra la distancia entre árbol sea igual y el número de 
árboles diferente. Al cabo de 9 cuadras, ¿cuántos árboles se habrán planta do (a 
ambos lados de la avenida)? 
R:434 
 
 
57. Se desea sembrar todo un terreno rectangular con árboles equidistantes entre 
sí. Si las dimensiones del terreno son 540 y 750m. Hallar cuán tos árboles se 
necesitarán sabiendo que hay uno en cada esquina y que la distancia entre 
árbol y árbol está comprendido entre 12 y 20m. 
R: 1887 
 
 
58. ¿Qué hora será cuando las manecillas del reloj se encuentren superpuestas 
entre las 3 y las 4? 
R: 3h 16min 21,81sg 
 
 
59. Se tiene una piscina de 12 m² de capacidad con 2 grifos: uno de suministro con 
un caudal de 150 L/h y un desagüe con un caudal de 50 l/h.¿Cuánto demorará 
en llenar la piscina inicial mente vacía? El desagüe funciona solo si la piscina 
tiene al menos 1/3 de agua? 
R: 106h 40min 
 
 
60. Al sumar los cuatro términos de una división entera por defecto se obtiene 41, 
pero si la división es por exceso, la suma es 39. Además, la suma de los 
cocientes es 7. El divisor es: 
R: 7 
 
 
61. Un móvil se desplaza a velocidad constante, recorriendo primero 756 km, luego 
3402 km. Si el MCM de los tiempos empleados es 486 h, ¿cuántas horas se ha 
demorado en total? 
R: 297 
 
62. Al dividir la suma de las edades de A y B en 1965 y 1950, respectivamente, se 
obtuvo un cociente de 5 y un residuo por defecto de 2. Si A nació 3 años antes 
que B. Calcular sus edades en el año en que su suma sea igual a 9 veces la suma 
de sus edades en 1950. 
R: 33 y 30 
 
 
63. Un caballo puede jalar una carreta que contiene un peso de 1 500 kilos, su 
velocidad es de 6 km/h, y se emplea 12 minutos para cargar la carreta, e igual 
tiempo para descargarla. El precio de la jornada de 10 horas es de S/. 50. 
Calcular el precio del transporte de 2 500 m² de tierra a una distancia de 9001 
m, sabiendo que 1 m² de tierra pesa 1 200 kg. 
R: 7000 
 
 
64. José le dice a Ana: “yo tengo 5 años más de la edad que tú tenías, cuando yo 
tenía 3 años me nos de la edad que tú tienes, y cuanto tengas el doble de la 
edad que yo tengo, nuestras edades sumarán 49 años. ¿Qué edad tiene José? 
R: 12 
 
65. Dos corredoresparten simultáneamente en viaje de una ciudad A a otra B 
distante 60 km. La velocidad del primero es 4 km/h menor que la del segundo. 
Luego de llegar a la segunda ciudad, el primero emprende el regreso y 
encuentra al segundo a 12 km. Determinar ambas velocidades. R: 12 y 8 
 
 
66. Para terminar la construcción del piso de un campo deportivo, con 40 obreros, 
se dispuso de una gratificación de 36 000 soles que repartirían a razón de S/ 
2,00 por cada metro cuadrado de construcción. Abandonaron la obra unos cuan 
tos obreros y entonces se retiró de la gratificación la mitad de los que a éstos 
hubiera correspondido al terminar la obra y se repartió el reto por igual entre 
los que terminaron la obra correspondiendo a cada uno de ellos S/ 1 050,00. 
Determinar la superficie del piso del campo deportivo y el número de obreros 
que se retiró de la obra. 
R: 450m^2 10 obreros 
 
 
 
67. Un ómnibus partió con cierto número de pasaje ros y en el primer paradero 
bajaron 1/8 del número que llevaba; en el segundo paradero, subieron 14; en el 
tercero, bajaron los 3/7 que llevaba; en el cuarto paradero, bajaron los 3/6 de 
lo que llevaba; llegando al quinto paradero con 16 pasajeros. ¿Con cuántos 
partió el ómnibus? 
R: 48 
 
 
68. Un vaso contiene un tercio de su capacidad de mercurio, los 3/5 del resto de 
agua y el resto es aceite, siendo su peso entonces de 5 kilos; el vaso vacío pesa 
1270 gramos. Hallar la capacidad del vaso sabiendo que 1 cc. De mercurio pesa 
13 gramos, 1 cc. De aceite pesa 0,9 gramos. 
R: 750cc 
 
 
69. Un vendedor compró manzanas a S/. 2,50 cada una. Si vende los 3/7 de ellas a 
S/. 2,80 y luego los 3/5 de lo que le queda a S/. 3,00 perdería hasta ese 
momento S/. 114. ¿Cuántas manzanas compró? 
R: 420 
 
 
70. Dos personas pueden terminar juntas el tejido de una red en 25 días. Así 
trabajaron durante 5 días, al cabo de los cuales la menor abandona el trabajo y 
la mayor termina lo que faltaba en 60 días. Determinar ¿En cuántos días 
trabajando sola la mayor habría terminado el tejido? 
R: 75 
 
 
71. El precio de los diamantes varía proporcionalmente con el cuadrado de su peso, 
si un diamante que se compró en S/.3200, se divide en 2 partes que son entre sí 
como 3 es a 5, ¿cuál sería su pérdida? 
R: 1500 
 
 
72. Tres números A, B, C están en relación directa a 5; 7 y 11. Si sumamos a dichos 
números, respectivamente, 130; 260 y n, la nueva relación directa es como 13; 
17 Y 19. Determine n. 
R: 910 
 
 
73. Dos mujeres y cuatro niños, consumen en un comedor por un valor de S/.390 
Determinar la cantidad en soles que consumirán 4 mujeres y 2 niños, si se sabe 
que el consumo de comida de la misma calidad ha sido 8 veces más 
considerable. Además se sabe que los apetitos de una mujer y de un niño están 
en la relación de 5 a 4. 
R: 3360 
 
 
74. Un piloto observa que el número de aviones es al número de barcos como 7 es 
a 6 pero a la vez el timonel nota que el número de aviones es al número de 
barcos como 8 es a 5. Hallar la diferencia entre el número de aviones y barcos. 
R: 2 
 
75. Ayer, 2 amigos, José y Pedro hicieron lo siguiente: José sumó a su año de 
nacimiento la edad de Pedro, y Pedro sumó a su año de nacimiento, la edad de 
José .Al sumar después ambos resultados, se obtiene 3 980, detectando que 
José se ha equivocado al sumar (obtuvo 1 987). Si José ya cumplió años (este 
año 1996) y Pedro aún no. ¿Cuál es la diferencia entre las edades de José y 
Pedro? 
R:2 
 
76. En una fiesta donde había 120 personas entre damas, caballeros y niños: el 
número de caballeros que no bailaban en el momento del Vals era igual a la 
tercera parte del número de damas, el número de niños era igual a la quinta 
parte del número de damas y la cuarta parte del número de damas fue con 
vestido blanco. Cuántas damas no bailaban en dicho momento? 
R: 32 
 
77. Dado un número de cuatro cifras cuya suma sea igual a 25, además que la suma 
de las cifras de las centenas y los millares es igual a la cifra de las decenas y que 
la suma de las cifra de las de cenas y de los millares es igual a la cifra de las 
unidades. Si se invierte el número él aumenta en 8082.Determinar la diferencia 
entra la cifras de los millares y la cifra de las decenas 
R: 7 
 
 
78. El dividendo, el divisor y el residuo de una división tiene por suma 1609. El 
cociente es 30. De terminar la diferencia entre los dos posibles dividendos. 
R: 29 
 
79. Juan le dice a José: cuando tú tenlas 7 años menos de la edad que yo tengo, yo 
tenía 3 años menos de la edad que tú tienes y cuando tenga el doble de la edad 
que tú tienes, nuestras edades sumarán 66 años. La edad de José es: R: 17 
 
 
80. Un grupo de 25 personas está compuesto por caballeros, bufones y doncellas. 
Cada caballero siempre dice la verdad, cada bufón siempre miente, una 
doncella alterna cada vez, entre contar una verdad o una mentira. Cuando a 
cada uno de ellos se le pregunto: ¿Eres un caballero?, 17 de ellos respondió 
“Si”. Luego, cuando a cada uno de ellos selle preguntó: “Eres una doncella”, 12 
de ellos dijeron “Si”. Luego, cuando a cada uno de ellos se le preguntó: “Eres un 
bufón”, 8 de ellos dijeron “Sí”. ¿Cuántos caballeros hay? 
R: 5 
 
 
81. Un grupo de obreros habían hecho en 36 días el 75% de una obra, en ese 
momento se aumentaron 15 obreros más y se terminó la obra 5 días antes de lo 
previsto. El grupo de obreros era de: 
R: 21 
 
82. Un padre reparte 15 caramelos para sus 3 hijas. ¿Qué hora es? 
R:14:45 
 15 para las 3 
83. En una reunión el número de hombres que bailan es al número de damas que 
no bailan como 1 a 2, además el número de damas es al número de hombres 
que no bailan como 3 a 5. Determinar ¿cuántas personas bailan, si en total 
asistieron 72 personas? 
R: 16 
 
84. En un salón donde hay 40 alumnos, el profesor de matemática suma los años 
de nacimiento de todos ellos; luego suma las edades de los 40 alum nos. A 
continuación, suma los 2 resultados obteniéndose finalmente 79 828. Si la 
suma se hizo ayer, ¿cuántos cumplieron años ya este año? (considerar a 1 996 
como año presente) 
R: 28 
 
 
85. ¿En cuánto hay que disminuir el primer factor y aumentar el segundo, del 
producto 13.27, para que el producto disminuya en 51? 
R: 3 y 3 
 
 
86. Si a un número se le hace 7/2 veces su valor resulta la mitad de su cuadrado 
aumentado en 3 ¿cuál es el número? 
R: 1 
 
 
87. Cada vez que un jugador gana una partida recibe 12 pesos, y cada vez que 
pierde paga 8 pesos, al cabo de 15 juegos ha ganado 80 pesos. Calcular las 
partidas ganadas. 
R:10 
 
 
88. A una reunión asisten 50 personas 5 mujeres tienen 17 años 14 mujeres no 
tienen 18 años 16 mujeres no tienen 17 años 10 varones no tienen 17 ni 18 
años ¿Cuántas personas no tienen 17 o 18 años? 
R:19 
 
 
89. Un reloj despertador se adelanta tres minutos cada hora. Si el domingo a las 9 
de la noche pongo a tiempo mi reloj y deseo despertarme el lunes a las 7 de la 
mañana, ¿Qué hora tengo que poner en la alarma para que me despierte a 
tiempo? 
R:7:30 
 
 
90. Entre moscas y arañas hay 42 cabezas y 276 patas, ¿Cuál es la diferencia entre 
el número de moscas y arañas? 
R:18 
 
 
91. Pedro fue a cortar mangos a una huerta. Para salir debe pasar por dos puertas; 
en cada una de ellas debe dejar un tercio de los mangos que lleve en ese 
momento. Si Pedro salió con 8 mangos, ¿Cuántos mangos cortó? 
R:18 
 
 
92. Un niño tiene el mismo número de hermanas que de hermanos, y una de sus 
hermanas tiene la mitad de hermanas que de hermanos. ¿Cuántos personas 
hay en la familia? 
R:9 
 
 
93. Año tras año brota en la superficie. De un estanque un hermoso lirio acuático. 
Cada día duplica su extensión. Al cabo de 21 días llega a cubrir todo el 
estanque. ¿Cuánto tardó en cubrir la mitaddel Estanque? 
R:20 
 
 
94. ¿Cuál es la mayor longitud de una regla con la que se puede medir exactamente 
el largo y el ancho de una sala que tiene 0,85 Dm de largo y 5950 mm de 
ancho? 
R:85cm 
 
 
 
95. Un libro tiene 120 hojas, si un niño arranca 50 páginas ¿Cuántas hojas quedan 
en el libro? 
R:95 
 
 
96. En una reunión hay 2 padres, 2 hijos y un nieto ¿ Cuántas personas hay en la 
reunión? 
R:3 
 
 
97. Un comerciante ahorró $54 000 durante 5 años. El segundo año ahorro 2/9 más 
sobre lo que había ahorrado el primer año; el tercer año ahorró $12 885; el 
cuarto año ahorró 1/11 menos de lo que ahorró el segundo año y el quinto año 
ahorró tanto como el segundo más $115. ¿Cuánto ahorró el cuarto año? R:10. 
000