Logo Passei Direto
Buscar
Material
páginas com resultados encontrados.
páginas com resultados encontrados.

Prévia do material em texto

CHAPTER 20 801 
 
 
 
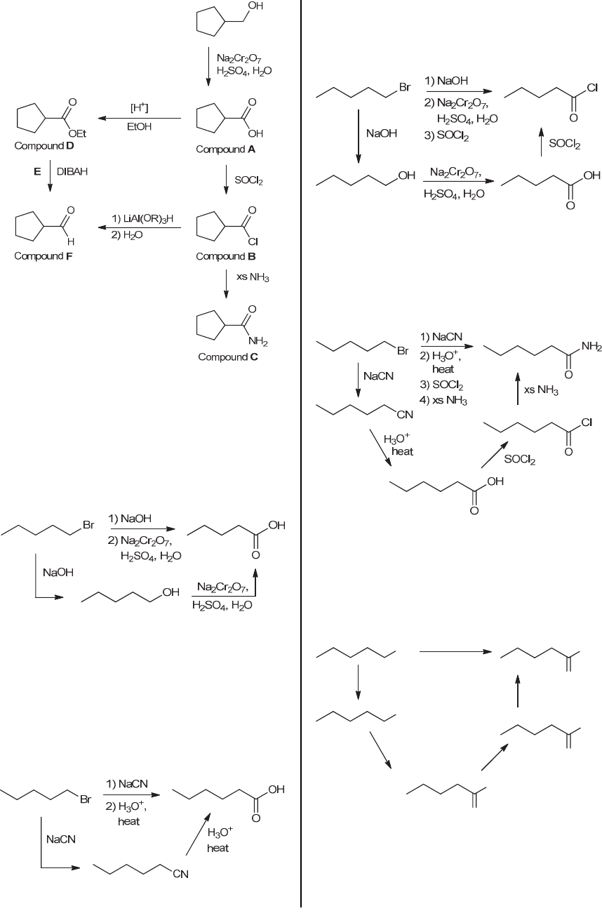
20.49. 
(a) This transformation does not involve a change in the 
carbon skeleton. Only the identity of the functional 
group must be changed. To accomplish this 
transformation, the starting material can be treated with 
NaOH to give 1-pentanol via an SN2 reaction. 
Subsequent oxidation of the primary alcohol gives the 
desired carboxylic acid. 
 
 
 
(b) This transformation involves a change in the carbon 
skeleton (one extra carbon atom must be inserted), as 
well as a change in the identity and location of the 
functional group. To accomplish this transformation, the 
starting material can be treated with NaCN, thereby 
converting 1-bromopentane into hexanenitrile via an SN2 
reaction. Subsequent acid catalyzed hydrolysis of the 
nitrile (upon treatment with aqueous acid) gives 
hexanoic acid. 
 
 
 
(c) First, 1-bromopentane can be converted into 
pentanoic acid in just two steps, as shown in the solution 
to part (a) of this problem. Then, treating this carboxylic 
acid with SOCl2 will give the desired acid chloride. 
 
 
 
(d) First, 1-bromopentane can be converted into 
hexanoic acid in just two steps, as shown in the solution 
to part (b) of this problem. Then, this carboxylic acid 
can be converted into an acid halide, followed by 
treatment with excess ammonia to give the desired 
product: 
 
 
 
(e) First, 1-bromopentane can be converted into 
pentanoic acid in just two steps, as shown in the solution 
to part (a) of this problem. This carboxylic acid can then 
be converted into an acid halide, followed by treatment 
with excess ammonia to give the desired product: 
 
OH
O
Br
OH
NaOH
Na2Cr2O7,
H2SO4, H2O
Cl
O
NH2
O
SOCl2
xs NH33) SOCl2
4) xs NH3
1) NaOH
2) Na2Cr2O7,
H2SO4, H2O
 
 
(f) First, 1-bromopentane can be converted into 
hexanoic acid in just two steps, as shown in the solution 
to part (b) of this problem. Upon treatment with ethanol 
in acid-catalyzed conditions, the carboxylic acid can be 
www.MyEbookNiche.eCrater.com

Mais conteúdos dessa disciplina