Logo Passei Direto
Buscar

Ferramentas de estudo

Material
páginas com resultados encontrados.
páginas com resultados encontrados.

Prévia do material em texto

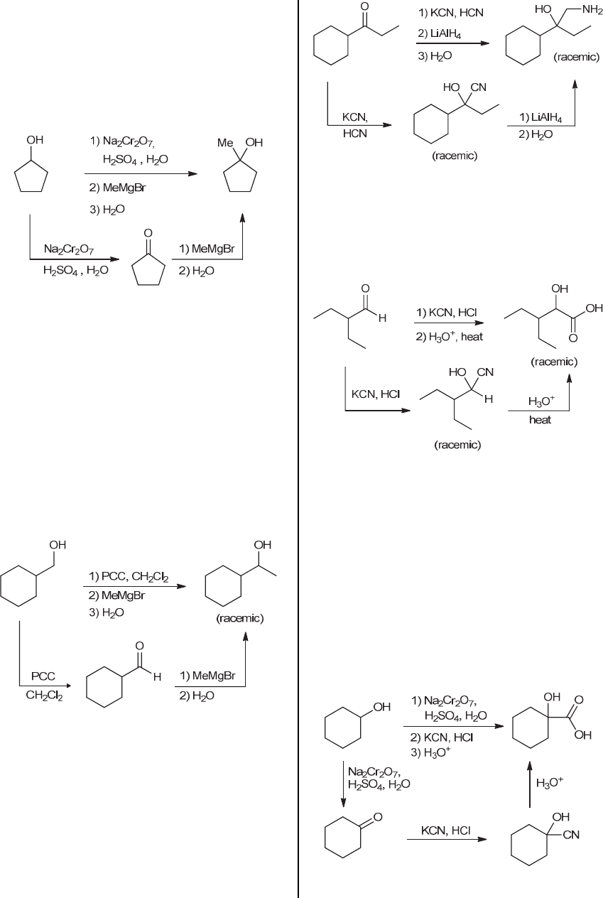
726 CHAPTER 19 
 
then treatment with methyl magnesium (followed by 
water work-up) will install the methyl group and 
simultaneously reduce the ketone back to an alcohol. 
The net result is the conversion of a secondary alcohol 
into a tertiary alcohol, as shown. A variety of oxidizing 
agents can be used for the oxidation step, including 
chromic acid (formed by mixing sodium dichromate with 
aqueous sulfuric acid). 
 
 
 
 
(b) This transformation requires installation of a methyl 
group at the  position of an alcohol. We have not 
learned a direct way to achieve this transformation. 
However, if we first oxidize the alcohol to give an 
aldehyde, then treatment with methyl magnesium 
(followed by water work-up) will install the methyl 
group and simultaneously reduce the aldehyde back to an 
alcohol. This final step creates a new chiral center, so a 
racemic mixture of enantiomers is expected. The net 
result is the conversion of a primary alcohol into a 
secondary alcohol, as shown. The oxidation step can be 
performed with PCC (or DMP or Swern), to give an 
aldehyde. The use of chromic acid would result in 
formation of a carboxylic acid, rather than an aldehyde. 
 
 
 
 
 
19.32. 
(a) The starting material is a ketone, and the reagents 
indicate cyanohydrin formation, followed by reduction to 
give an amino alcohol. During cyanohydrin formation, a 
new chiral center is formed, so a racemic mixture is 
expected. 
 
 
 
 
(b) The starting material is an aldehyde, and the reagents 
indicate cyanohydrin formation, followed by hydrolysis 
of the cyano group to give a carboxylic acid group. 
During cyanohydrin formation, a new chiral center is 
formed, so a racemic mixture is expected. 
 
 
 
19.33. 
(a) This transformation requires installation of a 
carboxylic acid group at the  position of an alcohol. 
We have not learned a direct way to achieve this 
transformation. However, if we first oxidize the alcohol 
to give a ketone, then treatment with KCN and HCl will 
convert the ketone into a cyanohydrin (thereby installing 
the extra carbon atom in the correct location, while 
simultaneously converting the carbonyl group back into 
an alcohol). Hydrolysis of the cyano group then gives 
the desired product. A variety of oxidizing agents can be 
used for the oxidation step, including chromic acid 
(formed by mixing sodium dichromate with aqueous 
sulfuric acid). 
 
 
 
 
www.MyEbookNiche.eCrater.com

Mais conteúdos dessa disciplina