Logo Passei Direto
Buscar
Material
páginas com resultados encontrados.
páginas com resultados encontrados.

Prévia do material em texto

CHAPTER 13 475 
 
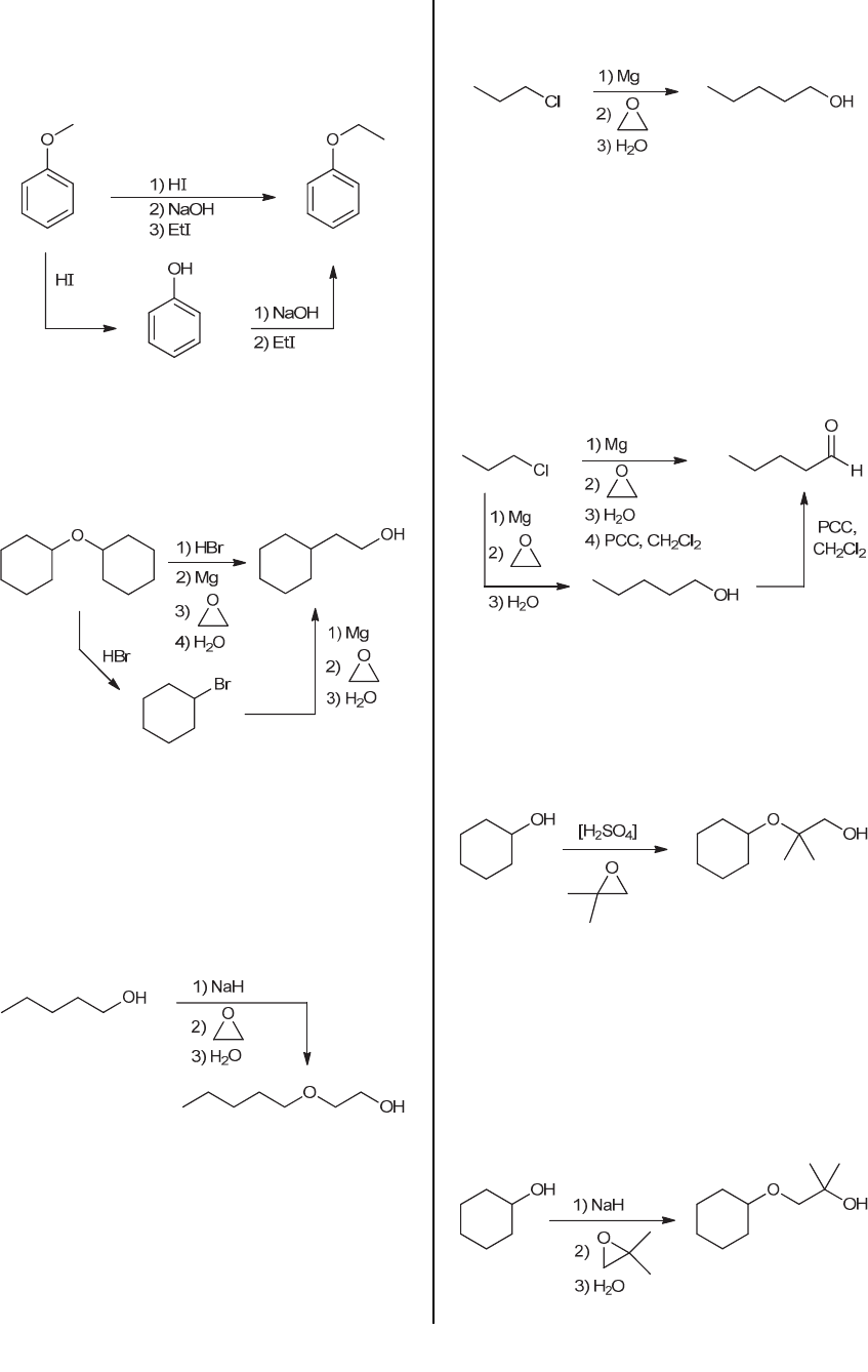
(m) We did not learn a way to alkylate an ether. 
However, we did learn a way to cleave a phenyl ether to 
give phenol. A Williamson ether synthesis can then be 
used to reinstall the alkyl group (this time an ethyl group, 
rather than a methyl group): 
 
 
 
 
(n) The starting material is an ether, which will undergo 
cleavage when treated with HBr to give 
bromocyclohexane. Conversion of this alkyl halide into 
a Grignard reagent, followed by treatment with ethylene 
oxide (and aqueous work-up), gives the desired product. 
 
 
 
 
(o) Two carbon atoms are installed, with a functional 
group on the second carbon atom of the newly installed 
chain. This indicates a reaction involving an epoxide. 
The alcohol is first deprotonated with a strong base (such 
as NaH) to give an alkoxide ion, which is then treated 
with ethylene oxide to give a ring-opening reaction. The 
resulting alkoxide ion is protonated upon aqueous work-
up to give the desired product: 
 
 
 
 
(p) Two carbon atoms are installed, with a functional 
group on the second carbon atom of the newly installed 
chain. This indicates a reaction involving an epoxide. 
The starting alkyl halide is converted into a Grignard 
reagent, which is then treated with ethylene oxide, 
followed by water work-up. This installs the two carbon 
atoms, and simultaneously installs the correct functional 
group in the correct location (at the second carbon atom 
of the newly installed chain): 
 
 
 
(q) Two carbon atoms are installed, with a functional 
group on the second carbon atom of the newly installed 
chain. This indicates a reaction involving an epoxide. 
The starting alkyl halide is converted into a Grignard 
reagent, which is then treated with ethylene oxide, 
followed by water work-up. This installs the two carbon 
atoms, and simultaneously installs a functional group in 
the correct location (at the second carbon atom of the 
newly installed chain). Oxidation of the primary alcohol 
with PCC (or DMP, or with a Swern oxidation) gives the 
desired aldehyde: 
 
 
(r) This conversion can be achieved in one step, by 
treating the starting material with the epoxide shown, in 
the presence of acid catalysis. Under these conditions, 
the alcohol functions as a nucleophile and attacks a 
protonated epoxide to give a ring-opening reaction in 
which the nucleophile attacks the more substituted 
tertiary position (due to an electronic effect). 
 
 
 
(s) This transformation is similar to the previous problem 
(13.51r), although in this case, the nucleophilic attack 
must occur at the less substituted position. This requires 
treating an epoxide with a strong nucleophile in basic 
conditions. The starting alcohol is first deprotonated 
with a strong base (such as NaH), and the resulting 
alkoxide ion is treated with the epoxide shown below. 
The resulting ring-opening reaction, followed by 
aqueous work-up, gives the desired product. 
 
 
 
www.MyEbookNiche.eCrater.com

Mais conteúdos dessa disciplina