Logo Passei Direto
Buscar

Ferramentas de estudo

Material
páginas com resultados encontrados.
páginas com resultados encontrados.
details

Libere esse material sem enrolação!

Craque NetoCraque Neto

Ao continuar, você aceita os Termos de Uso e Política de Privacidade

Prévia do material em texto

CHAPTER 12 433 
 
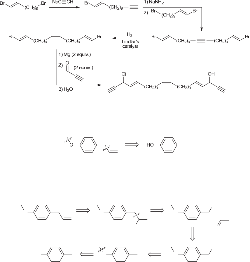
a. Duryne can be made from the reaction between the bis-vinyl Grigard reagent (a dianion) and two equivalents 
of the aldehyde shown. 
b. The bis-vinyl Grignard is made from the bis-vinyl bromide and two equivalents of magnesium. 
c. The cis alkene is produced via reduction of the corresponding internal alkyne. 
d. The alkyne is made by sequentially alkylating each carbon of acetylene with E-1,11-dibromo-1-undecene. 
Note that while there are two bromines on this molecule, only the bromide attached to the sp3 hybridized 
atom carbon can serve as a leaving group in an SN2 reaction. 
 
Now let’s draw the forward scheme. The starting material, E-1,11-dibromo-1-undecene, is treated with sodium 
acetylide to produce a terminal alkyne. Deprotonation with sodium amide, followed by treatment with a second 
equivalent of E-1,11-dibromo-1-undecene gives the internal alkyne. Reduction of the alkyne with H2 and Lindlar’s 
catalyst affords the cis alkene. Further treatment with two equivalents of magnesium yields the bis-vinyl Grignard, 
which reacts with two equivalents of the aldehyde. Aqueous workup produces the target molecule, duryne. 
 
 
 
 
12.67. The following synthesis is one suggested synthetic pathway. There are certainly other acceptable approaches 
that accomplish the same goal. 
By comparing the structures of the starting material (4-methylphenol) and the product, it is clear that the following 
bonds (indicated by wavy lines below) need to be made in this synthesis. 
 
 
 
The left bond (C-O) can be made via an SN2 process, while the right bond (C-C) can be made by either a Grignard 
reaction or by using an acetylide ion as a nucleophile. It is important that we make the ether bond early in our scheme 
to avoid an acid/base reaction between the phenolic proton (pKa ≈ 10) and the Grignard reagent or acetylide (both of 
which are strong bases). If the phenolic proton is subjected to a Grignard reagent, the latter would be destroyed via 
protonation. The same fate would occur for an acetylide ion that is treated with a compound bearing a phenolic proton. 
The following is a retrosynthetic analysis for our target compound. An explanation of each of the steps (a-e) 
follows. 
O O
HO
O
O
MgBr
O
Br
OHO
a
de
b
c
+
 
 
 
a. We can make the monosubstituted alkene by converting the OH group into a tosylate group and then 
performing an elimination reaction with a sterically hindered base. 
www.MyEbookNiche.eCrater.com

Mais conteúdos dessa disciplina