Logo Passei Direto
Buscar
Material
páginas com resultados encontrados.
páginas com resultados encontrados.

Prévia do material em texto

CHAPTER 13 477 
 
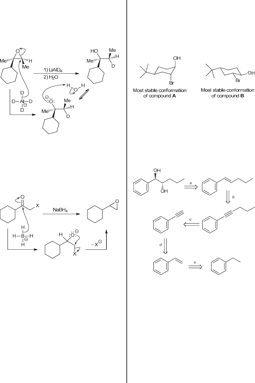
13.56. LiAlD4 is expected to function very much like 
LiAlH4. That is, it is expected to be a delivery agent of 
D¯ (rather than H¯), which attacks the less hindered 
position (secondary rather than tertiary), with inversion 
of configuration at that position. The resulting alkoxide 
ion is then protonated upon treatment with water, to give 
the product shown. 
 
 
 
 
13.57. NaBH4 is expected to serve as a delivery agent 
of H¯, which attacks the electrophilic carbonyl group 
(that carbon atom is electrophilic because of both 
resonance and induction). The resulting alkoxide ion can 
then undergo an intramolecular SN2-type reaction, 
expelling a halide as a leaving group, and generating the 
epoxide, as shown: 
 
 
 
13.58 When methyloxirane is treated with HBr, the 
regiochemical outcome is determined by a competition 
between steric and electronic factors, with steric factors 
prevailing – bromide attacks the less substituted position. 
However, when phenyloxirane is treated with HBr, 
electronic factors prevail in controlling the regiochemical 
outcome. Specifically, the position next to the phenyl 
group is a benzylic position and can stabilize a large 
partial positive charge. In such a case, electronic factors 
are more powerful than steric factors, and bromide 
attacks the more substituted position. 
 
 
13.59. This process for epoxide formation involves 
deprotonation of the hydroxyl group, followed by an 
intramolecular SN2-type attack. Recall that SN2 
processes occur via back-side attack, which can only be 
achieved when both the hydroxyl group and the bromine 
occupy axial positions on the ring. Due to the steric bulk 
of a tert-butyl group, compound A spends most of its 
time in a chair conformation that has the tert-butyl group 
in an equatorial position. In this conformation, the OH 
and Br are indeed in axial positions, so the reaction can 
occur quite rapidly. In contrast, compound B spends 
most of its time in a chair conformation in which the OH 
and Br occupy equatorial positions. The SN2 process 
cannot occur from this conformation. 
 
 
 
When compound A is treated with NaOH, the hydroxyl 
group in compound A is deprotonated, giving an 
alkoxide ion which can serve as a nucleophile in an 
intramolecular SN2-type attack that gives an epoxide. 
 
13.60. There are certainly many acceptable methods for 
achieving the desired transformation. The following 
retrosynthetic analysis represents one such method. An 
explanation of each of the steps (a-e) follows. 
 
 
 
a. The diol can be made from the trans alkene, by 
converting the alkene into an epoxide and then 
opening under aqueous acidic conditions (or under 
basic conditions). 
b. The alkene can be made from the corresponding 
alkyne via a dissolving metal reduction. 
c. The alkyne can be made via alkylation of a terminal 
alkyne. 
d. The terminal alkyne can be made from the 
corresponding alkene via bromination followed by 
elimination with NaNH2. 
e. The alkene can be made from the alkane via 
bromination, followed by elimination with a strong 
base, such as NaOEt. 
 
www.MyEbookNiche.eCrater.com

Mais conteúdos dessa disciplina