Logo Passei Direto
Buscar
Material
páginas com resultados encontrados.
páginas com resultados encontrados.
left-side-bubbles-backgroundright-side-bubbles-background

Experimente o Premium!star struck emoji

Acesse conteúdos dessa e de diversas outras disciplinas.

Libere conteúdos
sem pagar

Ajude estudantes e ganhe conteúdos liberados!

Prévia do material em texto

274 CHAPTER 8 
 
Answer (c) is not correct, because a rearrangement is 
possible, giving a mixture of products: 
 
 
 
Only one of these products is the desired product, so this 
method is not efficient. 
Answer (d) is the correct answer, because hydroboration-
oxidation involves installation of an OH group at the less 
substituted position: 
 
 
 
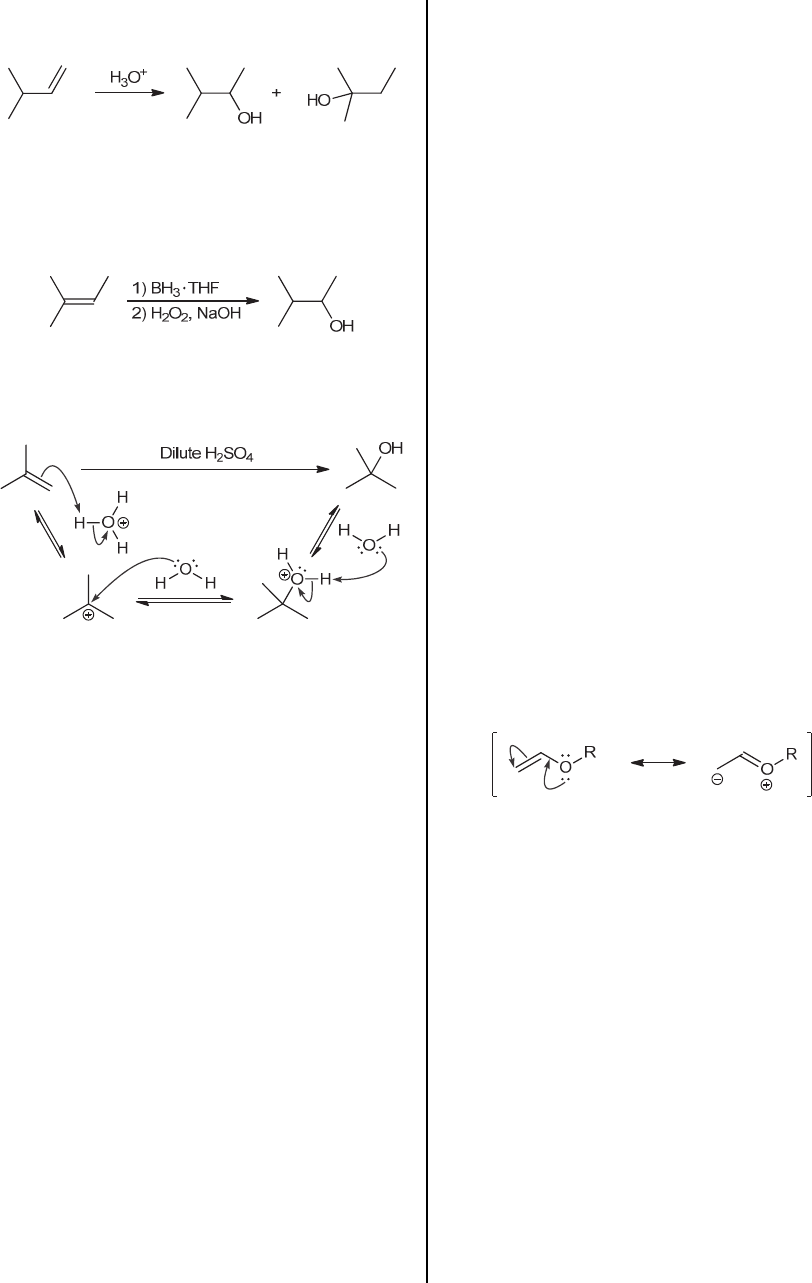
8.92. Acid-catalyzed hydration is believed to occur via 
the following mechanism: 
 
 
 
As shown, this mechanism has two intermediates, which 
correspond with structures I and II. Therefore, the 
correct answer is (b). 
 
8.93. 
The oxymercuration reaction involves an electrophilic 
mercuric cation reacting with a nucleophilic  bond of an 
alkene in an addition reaction. So, as the  bond of the 
alkene is rendered less nucleophilic due to electron-
withdrawing substituent(s), the reaction rate is expected 
to decrease. Also, steric effects may come into play as 
the number of substituents around the  bond increases. 
Among the alkenes listed, alkene 1 is disubstituted while 
4 is trisubstituted. All of the rest are monosubstituted 
alkenes. Given that alkyl substituents are generally 
electron-donating groups, we would expect 1 and 4 to be 
the most reactive. More specifically, compounds 1 and 4 
are the only ones capable of having a tertiary carbocation 
as a resonance contributor in the mercurinium ion 
intermediate. Therefore, these mercurinium ions are 
expected to be among the most stable ones, and hence, 
the oxymercuration reactions of these two alkenes are 
expected to proceed the fastest. This expectation does 
not bear itself out for alkene 4 in the relative reactivity 
data, however, since it is among the slower reacting 
compounds. This anomaly must be due to the steric 
repulsion associated when the mercuric cation tries to 
approach the  bond, or a destabilizing steric effect 
present in the resulting mercurinium ion intermediate 
between these substituents and the bound mercury ion. 
The monosubstituted alkenes 2, 3 and 5 are all less 
reactive than 1 because their corresponding mercurinium 
ions involve resonance structures with a secondary 
carbocation, thus resulting in higher energy than the 
mercurinium ion obtained from compound 1. Alkene 3 
reacts slower than 2 due to electron-withdrawal from the 
–OMe group, which would destabilize the mercurinium 
ion by further reducing the electron density of the 
resulting secondary carbocation resonance contributor. A 
similar inductive effect would also destabilize the 
mercurinium ion from alkene 5, but an additional steric 
destabilization due to the large chlorine atom may also 
be in effect to make this alkene the slowest reacting 
compound among the series. 
 
8.94. 
The hydroboration reaction involves an electrophilic 
borane (or, organoborane such as 9-BBN) reacting with a 
nucleophilic alkene in an addition reaction. So, as the  
bond of the alkene is rendered more nucleophilic due to 
electron-donating substituent(s), the reaction rate is 
expected to increase. Steric effects (that arise because of 
the bulky reagent) are also expected to play an important 
role in determining the relative rates of reactivity. 
 
(a) Alkene 1 possesses an alkoxy substituent (OR) in an 
allylic position. An alkoxy group is expected to be 
inductively electron-withdrawing, because oxygen is an 
electronegative atom and will therefore withdraw 
electron density away from the  bond. This effect 
should render the  bond less reactive (less 
nucleophilic). However, the alkoxy group is expected to 
be electron-donating via resonance, as seen when we 
draw the resonance structures: 
 
 
 
So there are two effects in competition with each other. 
The alkoxy group is expected to be electron-withdrawing 
via induction, but it is expected to be electron-donating 
via resonance. Which effect is stronger? We have seen 
that, in general, resonance is a stronger effect than 
induction. As such, we would expect the alkoxy group 
to be electron-donating, which would render the alkene 
more nucleophilic (more reactive). This prediction is 
verified by the high rate of reactivity of compound 1. 
The  bond in compound 2 is adjacent to an alkyl group, 
rather than an alkoxy group, so there is no resonance 
effect. The only effect is induction (we have seen that 
alkyl groups are generally electron donating). As such, 
the nucleophilicity of the  bond in compound 2 is 
expected to be enhanced by the presence of the alkyl 
group, but it is not expected to be quite as nucleophilic as 
the  bond in compound 1. 
Compounds 3 and 5 both exhibit a CH2 group in between 
the  bond and the substituent. As such, the substituents 
in these compounds do not affect the  bond via 
resonance effects; only via inductive effects. Both 
substituents are expected to be inductively electron-
www.MyEbookNiche.eCrater.com

Mais conteúdos dessa disciplina