Logo Passei Direto
Buscar

Ferramentas de estudo

Questões resolvidas

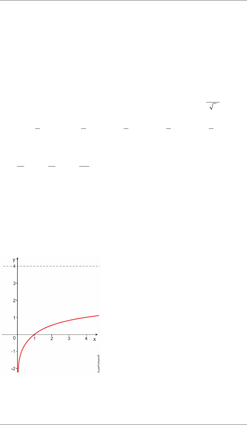
Considere a função f :R+¿¿❑ → R¿ definida por f(x) = log4 x e o esboço de seu gráfico no plano cartesiano, que destaca também, por meio da linha tracejada, os pontos do plano cuja ordenada é 4.
O valor de x para o qual f(x) = 4 é
a) 16.
b) 32.
c) 64.
d) 128.
e) 256.

Um bolo é retirado do forno e começa a resfriar segundo a expressão T(t) = 30 + 150a-0,05t, com a > 1, sendo T a temperatura do bolo e t o tempo decorrido em minutos.
Assinale a alternativa que corresponde ao tempo em que o bolo atingirá a metade da temperatura inicial que apresentava quando foi retirado do forno em t = 0. (Use se necessário loga 2 = 0,7 e loga 5 = 1,6).
a) 10 minutos
b) 12 minutos
c) 16 minutos
d) 18 minutos
e) 22 minutos

Um investidor aplicou, no sistema de juros compostos, certa quantia em uma instituição financeira que remunera as aplicações à taxa de 1% mensal.
Assim, é correto afirmar que o número de meses, a partir da aplicação, em que o capital inicial será dobrado é igual a
Use os valores aproximados: log(1,01) = 0,0043 e log(2) = 0,30103.
a) 74.
b) 68.
c) 72.
d) 70.

A altitude (h) acima do nível do mar, em quilômetros, durante o voo de um avião é dada em função da pressão atmosférica p, em atm.
Em determinado instante, a pressão atmosférica medida pelo altímetro desse avião era de 0,8 atm. Nesse instante, a altitude do avião, em quilômetros, considerando era de:
a) 2
b) 3
c) 6
d) 8
e) 9

Dado que e assinale a alternativa que indique o valor de

a) 5
b) – 5
c) 6
d) – 6
e) 17

Material
páginas com resultados encontrados.
páginas com resultados encontrados.
details

Libere esse material sem enrolação!

Craque NetoCraque Neto

Ao continuar, você aceita os Termos de Uso e Política de Privacidade

details

Libere esse material sem enrolação!

Craque NetoCraque Neto

Ao continuar, você aceita os Termos de Uso e Política de Privacidade

details

Libere esse material sem enrolação!

Craque NetoCraque Neto

Ao continuar, você aceita os Termos de Uso e Política de Privacidade

details

Libere esse material sem enrolação!

Craque NetoCraque Neto

Ao continuar, você aceita os Termos de Uso e Política de Privacidade

Questões resolvidas

Considere a função f :R+¿¿❑ → R¿ definida por f(x) = log4 x e o esboço de seu gráfico no plano cartesiano, que destaca também, por meio da linha tracejada, os pontos do plano cuja ordenada é 4.
O valor de x para o qual f(x) = 4 é
a) 16.
b) 32.
c) 64.
d) 128.
e) 256.

Um bolo é retirado do forno e começa a resfriar segundo a expressão T(t) = 30 + 150a-0,05t, com a > 1, sendo T a temperatura do bolo e t o tempo decorrido em minutos.
Assinale a alternativa que corresponde ao tempo em que o bolo atingirá a metade da temperatura inicial que apresentava quando foi retirado do forno em t = 0. (Use se necessário loga 2 = 0,7 e loga 5 = 1,6).
a) 10 minutos
b) 12 minutos
c) 16 minutos
d) 18 minutos
e) 22 minutos

Um investidor aplicou, no sistema de juros compostos, certa quantia em uma instituição financeira que remunera as aplicações à taxa de 1% mensal.
Assim, é correto afirmar que o número de meses, a partir da aplicação, em que o capital inicial será dobrado é igual a
Use os valores aproximados: log(1,01) = 0,0043 e log(2) = 0,30103.
a) 74.
b) 68.
c) 72.
d) 70.

A altitude (h) acima do nível do mar, em quilômetros, durante o voo de um avião é dada em função da pressão atmosférica p, em atm.
Em determinado instante, a pressão atmosférica medida pelo altímetro desse avião era de 0,8 atm. Nesse instante, a altitude do avião, em quilômetros, considerando era de:
a) 2
b) 3
c) 6
d) 8
e) 9

Dado que e assinale a alternativa que indique o valor de

a) 5
b) – 5
c) 6
d) – 6
e) 17

Prévia do material em texto

<p>Super Professor</p><p>1. Seja a função real definida por</p><p>O conjunto A, domínio mais amplo possível da função f, é</p><p>a)</p><p>b)</p><p>c)</p><p>d)</p><p>2. Sabendo que e temos que o valor de é igual a:</p><p>a) b) c) d) e)</p><p>3. Usando as propriedades dos logaritmos, é correto concluir que o valor da expressão</p><p>a) 0,16.</p><p>b) 0,50.</p><p>c) 1,00.</p><p>d) 1,20.</p><p>4. Considere a função definida por f(x) = log4 x e o esboço de seu gráfico no plano cartesiano, que destaca também, por meio da linha tracejada, os pontos do plano cuja ordenada é 4.</p><p>O valor de x para o qual f(x) = 4 é</p><p>a) 16.</p><p>b) 32.</p><p>c) 64.</p><p>d) 128.</p><p>e) 256.</p><p>5. Um bolo é retirado do forno e começa a resfriar segundo a expressão T(t) = 30 + 150a-0,05t, com a > 1, sendo T a temperatura do bolo e t o tempo decorrido em minutos. Assinale a alternativa que corresponde ao tempo em que o bolo atingirá a metade da temperatura inicial que apresentava quando foi retirado do forno em t = 0. (Use se necessário loga 2 = 0,7 e loga 5 = 1,6).</p><p>a) 10 minutos</p><p>b) 12 minutos</p><p>c) 16 minutos</p><p>d) 18 minutos</p><p>e) 22 minutos</p><p>6. Um investidor aplicou, no sistema de juros compostos, certa quantia em uma instituição financeira que remunera as aplicações à taxa de 1% mensal. Assim, é correto afirmar que o número de meses, a partir da aplicação, em que o capital inicial será dobrado é igual a</p><p>Use os valores aproximados:</p><p>log(1,01) = 0,0043 e</p><p>log(2) = 0,30103.</p><p>a) 74.</p><p>b) 68.</p><p>c) 72.</p><p>d) 70.</p><p>7. Assinale a alternativa que apresenta o valor de</p><p>a)</p><p>b)</p><p>c)</p><p>d)</p><p>e)</p><p>8. Para fazer um gráfico em papel milimetrado com escala logarítmica, David precisa encontrar o logaritmo do número na base 10, adotando em seu cálculo O logaritmo do número procurado por David é</p><p>a) –17,301.</p><p>b) –18,398.</p><p>c) –17,699.</p><p>d) –18,699.</p><p>e) –17,602.</p><p>9. A altitude (h) acima do nível do mar, em quilômetros, durante o voo de um avião é dada em função da pressão atmosférica p, em atm, por Em determinado instante, a pressão atmosférica medida pelo altímetro desse avião era de 0,8 atm. Nesse instante, a altitude do avião, em quilômetros, considerando era de:</p><p>a) 2</p><p>b) 3</p><p>c) 6</p><p>d) 8</p><p>e) 9</p><p>10. No plano cartesiano, os pontos (3, 2) e (5, 4) pertencem ao gráfico da função dada por</p><p>O valor de a + b é:</p><p>a) -8</p><p>b) -6</p><p>c) 0</p><p>d) 4</p><p>e) 8</p><p>11. Uma das raízes da equação é x = 1. A outra raiz é:</p><p>a) 1+ log3 2</p><p>b) 1+ log2 3</p><p>c) 2</p><p>d) 6</p><p>e) Log6 3</p><p>12. Dado que e assinale a alternativa que indique o valor de</p><p>a) 5</p><p>b) – 5</p><p>c) 6</p><p>d) – 6</p><p>e) 17</p><p>13. Se então o valor de x é</p><p>a) 0,1</p><p>b) 1</p><p>c) 10</p><p>d) 100</p><p>e) 1.000</p><p>14. Se e então o valor de é</p><p>a) −3</p><p>b) −2</p><p>c) 2</p><p>d) 3</p><p>15. Os fatores do produto P obedecem sempre o mesmo padrão descrito:</p><p>Nessa condição, P é um número real entre</p><p>a) 1 e 2.</p><p>b) 7 e 8.</p><p>c) 10 e 11.</p><p>d) 3 e 4.</p><p>e) 12 e 13.</p><p>Gabarito:</p><p>Resposta da questão 1:</p><p>[D]</p><p>Resposta da questão 2:</p><p>[C]</p><p>Resposta da questão 3:</p><p>[C]</p><p>Resposta da questão 4:</p><p>[E]</p><p>Resposta da questão 5:</p><p>[D]</p><p>Resposta da questão 6:</p><p>[D]</p><p>Resposta da questão 7:</p><p>[B]</p><p>Resposta da questão 8:</p><p>[E]</p><p>Resposta da questão 9:</p><p>[B]</p><p>Resposta da questão 10:</p><p>[A]</p><p>Resposta da questão 11:</p><p>[A]</p><p>Resposta da questão 12:</p><p>[A]</p><p>Resposta da questão 13:</p><p>[D]</p><p>Resposta da questão 14:</p><p>[A]</p><p>Resposta da questão 15:</p><p>[C]</p><p>Página 1 de 3</p><p>image3.wmf</p><p>{x|5x4oux1}</p><p>Î-<<-></p><p>¡</p><p>oleObject3.bin</p><p>image4.wmf</p><p>log(a)A,</p><p>=</p><p>oleObject4.bin</p><p>image5.wmf</p><p>log(b)B</p><p>=</p><p>oleObject5.bin</p><p>image6.wmf</p><p>log(c)C,</p><p>=</p><p>oleObject6.bin</p><p>image7.wmf</p><p>2</p><p>ab</p><p>log</p><p>c</p><p>æö</p><p>×</p><p>ç÷</p><p>ç÷</p><p>èø</p><p>oleObject7.bin</p><p>image8.wmf</p><p>C</p><p>2AB</p><p>2</p><p>-++</p><p>oleObject8.bin</p><p>image9.wmf</p><p>C</p><p>2AB</p><p>2</p><p>--+</p><p>oleObject9.bin</p><p>image10.wmf</p><p>C</p><p>2AB</p><p>2</p><p>+-</p><p>oleObject10.bin</p><p>image11.wmf</p><p>C</p><p>2AB</p><p>2</p><p>--</p><p>oleObject11.bin</p><p>image12.wmf</p><p>C</p><p>2AB</p><p>2</p><p>-+</p><p>oleObject12.bin</p><p>image13.wmf</p><p>222</p><p>36616</p><p>3log3log2log</p><p>2527125</p><p>æö</p><p>+-</p><p>ç÷</p><p>èø</p><p>oleObject13.bin</p><p>image14.wmf</p><p>2</p><p>logzlogaritimode z na base 2</p><p>º</p><p>oleObject14.bin</p><p>image15.wmf</p><p>image16.wmf</p><p>8</p><p>8</p><p>log64.</p><p>oleObject15.bin</p><p>image17.wmf</p><p>1</p><p>2</p><p>oleObject16.bin</p><p>image18.wmf</p><p>1</p><p>4</p><p>oleObject17.bin</p><p>image19.wmf</p><p>1</p><p>8</p><p>oleObject18.bin</p><p>image20.wmf</p><p>1</p><p>16</p><p>oleObject19.bin</p><p>image21.wmf</p><p>1</p><p>64</p><p>oleObject20.bin</p><p>image22.wmf</p><p>18</p><p>2,510,</p><p>-</p><p>×</p><p>oleObject21.bin</p><p>image23.wmf</p><p>10</p><p>log20,301.</p><p>=</p><p>oleObject22.bin</p><p>image24.wmf</p><p>10</p><p>1</p><p>h(p)30log.</p><p>p</p><p>æö</p><p>=×</p><p>ç÷</p><p>èø</p><p>oleObject23.bin</p><p>image25.wmf</p><p>10</p><p>log20,3,</p><p>=</p><p>oleObject24.bin</p><p>image26.wmf</p><p>2</p><p>ylog(axb)</p><p>=+</p><p>oleObject25.bin</p><p>image27.wmf</p><p>2XX</p><p>393180</p><p>-×+=</p><p>oleObject26.bin</p><p>image28.wmf</p><p>a</p><p>logb3</p><p>=</p><p>image1.wmf</p><p>22</p><p>(x5)(x5)</p><p>f(x)log(x5x4)log(x1)</p><p>++</p><p>=++--</p><p>oleObject27.bin</p><p>image29.wmf</p><p>a</p><p>logc2,</p><p>=</p><p>oleObject28.bin</p><p>image30.wmf</p><p>25</p><p>a</p><p>3</p><p>ba</p><p>log.</p><p>c</p><p>æö</p><p>×</p><p>ç÷</p><p>ç÷</p><p>èø</p><p>oleObject29.bin</p><p>image31.wmf</p><p>3810</p><p>log[log(logx)]1,</p><p>=-</p><p>oleObject30.bin</p><p>image32.wmf</p><p>log20,3</p><p>=</p><p>oleObject31.bin</p><p>image33.wmf</p><p>log30,5,</p><p>=</p><p>oleObject1.bin</p><p>oleObject32.bin</p><p>image34.wmf</p><p>log0,0072</p><p>log5</p><p>oleObject33.bin</p><p>image35.wmf</p><p>2342021</p><p>Plog3log4log5log2022</p><p>=××××</p><p>K</p><p>oleObject34.bin</p><p>image2.wmf</p><p>{x|5x2oux1}</p><p>Î-<<-³</p><p>¡</p><p>oleObject2.bin</p>

Mais conteúdos dessa disciplina