Logo Passei Direto
Buscar
Material
páginas com resultados encontrados.
páginas com resultados encontrados.

Prévia do material em texto

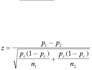
16. Una firma fabricante de cigarrillos distribuye dos marcas de cigarrillos. En una encuesta se encuentra que 56 de 200 fumadores prefieren la marca A y que 29 de 150 fumadores encuestados prefieren la marca B, ¿Se puede concluir al nivel de significación de 0.06 que la marca A se vende más rápidamente que la marca B?
Planteamos las hipótesis:			
		H0:	p1 = p2
		H1:	p1 > p2
Tamaño de las muestras:
n1 = 200
n2 = 150
Proporciones:
p1 = 0.25
p2 = 0.193
significancia:			
	α = 0.06		
	1-α = 0.94
valor critico(Z0)			
	Z(1-α) =	1.555
proporción ponderada:			
		
	Pc = 0.226
Estadístico de prueba:	
Z = 1.263
El valor Z = 1.263 se encuentra en la región de aceptación:
Interpretación:
Con un nivel de significancia de 0.06 se acepta la hipótesis nula y se puede concluir que las preferencias en ambas marcas son iguales.
17. Un auditor de una cadena de tiendas desea comparar la eficiencia de dos técnicas de auditoría diferentes. Para este fin selecciona una muestra de 9 cuentas de las tiendas y les aplica la técnica A y selecciona otras 9 cuentas de las tiendas y les aplica la técnica B. En la tabla se presenta el número de errores encontrados en las cuentas de las tiendas.
TECNICA A: 125 116 133 115 123 120 132 128 121 
TECNICA B: 89 101 97 95 94 102 98 106 98 
Determine si existe evidencia de una diferencia en el número medio de errores detectados por las dos técnicas de auditoría, alfa= 0.10.
Planteamos las hipótesis:		
		H0:	µ1 = µ2
		H1:	µ1 ≠ µ2
Hallamos las medias para cada muestra			
		XA =	123.667
		XB =	97.778
Varianzas muestrales:			
		S21 = 41.5
		S22 = 24.444
significancia			
		α =	0.1
		α/2 =	0.05
		1-α/2 =	0.95
Valor critico t (1-α/2, n1+n2-2):						
		t = 1.746
varianza conjunta:
S2p = 32.972
Hallamos el valor estadístico de prueba:
t = 9.564
El valor t = 9.564 se encuentra en la región de rechazo:
Interpretación:
Con un nivel de significancia de 0.1 se rechaza la hipótesis nula y se concluye que existe evidencia de una diferencia en el número medio de errores detectados por las dos técnicas de auditoría
18. El gerente de procesamiento de datos de una empresa desea estudiar el uso de la computadora de dos departamentos de la compañía: el departamento de contabilidad y el departamento de investigaciones. Se seleccionó una muestra aleatoria de cinco trabajos del departamento de contabilidad en el mes pasado y seis trabajos del departamento de investigación en el mes pasado y se registró el tiempo de procesamiento (en segundos) para cada trabajo, con los siguientes resultados
CONTABILIDAD: 9 3 8 7 12 
INVESTIGACION: 4 13 10 9 9 6 
¿Hay una diferencia en el tiempo del procesamiento entre el departamento de contabilidad y el departamento de investigación?
Planteamos las hipótesis:		
		H0:	µ1 = µ2
		H1:	µ1 ≠ µ2
Hallamos las medias para cada muestra			
		X1 =	7.8
		X2 =	8.5
Varianzas muestrales:			
		S21 = 10.7
		S22 = 9.9
significancia			
		α =	0.05
		α/2 =	0.025
		1-α/2 =	0.975
Valor critico t (1-α/2, n1+n2-2):						
		t = 2.262
varianza conjunta:
S2p = 10.256
Hallamos el valor estadístico de prueba:
t = -0.361
El valor t = -0.361 se encuentra en la región de aceptación:
Interpretación:
Con un nivel de significancia de 0.05 se acepta la hipótesis nula y se concluye que no existe una diferencia en el tiempo del procesamiento entre el departamento de contabilidad y el departamento de investigación.
2
1
2
2
1
1
n
n
p
n
p
n
p
c
+
+
=

Mais conteúdos dessa disciplina