Logo Passei Direto
Buscar
Material
páginas com resultados encontrados.
páginas com resultados encontrados.

Prévia do material em texto

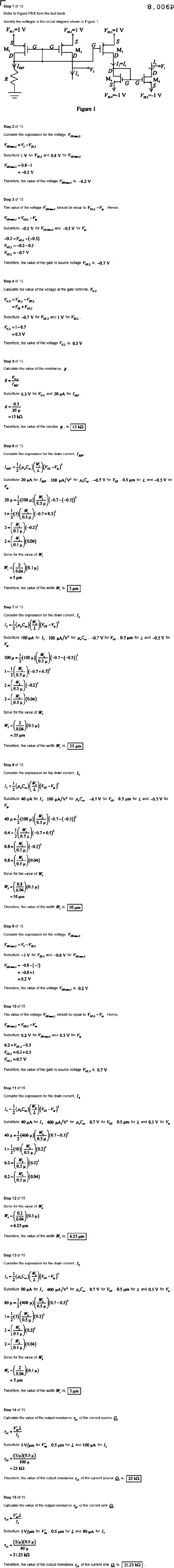
M, G M2 M, D D I, R Figure Step 2 of 15 -0.2 V Substitute . -0.7 V Substitute 0.3 MP Substitute Substitute and -0.5 (0.04) Substitute 0.5 and V. Step 10 of 15 should be value source 0.7 V Step 12 of 15 and Step 14 of 15 Substitute Step 15 of 15 Substitute

Mais conteúdos dessa disciplina