Logo Passei Direto
Buscar
Material
páginas com resultados encontrados.
páginas com resultados encontrados.

Prévia do material em texto

CHAPTER 21 901 
 
 
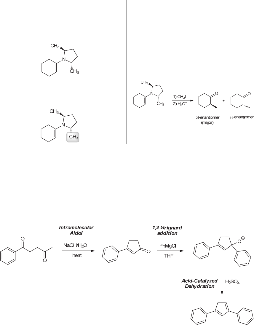
21.109. 
(a) Only one isomer of the enamine forms due to 
rotational symmetry possessed by the secondary amine. 
Due to this symmetry property, the two possible 
conformational isomers for this enamine are equivalent. 
 
 
 
(b) When the enamine in part (a) reacts with methyl 
iodide, the methyl group closer to the  carbon atom of 
the enamine is oriented below the plane of the page. 
 
 
 
 
So, approach by the electrophile from that direction is 
hindered, resulting in (R)-2-methylcyclohexanone being 
the minor product. In contrast, since the approach of 
methyl iodide from the top face of the page is unimpeded 
by this substituent, (S)-2-methylcyclohexanone is the 
major product. And since this is the only isomer of the 
enamine undergoing alkylation, the S-enantiomer is the 
major product formed. This means that the rotational 
symmetry of the starting secondary amine is responsible 
for the % ee achieved. 
 
 
 
 
 
 
 
 
 
 
21.110. While there are three alpha positions in the molecule, deprotonation at only one of them (the terminal methyl 
group) will lead to the formation of a 5-membered ring. The first reaction is a base-catalyzed, intramolecular aldol 
condensation reaction, affording an -unsaturated ketone. Addition of the Grignard reagent phenylmagnesium 
chloride gives an alkoxide ion. Treatment with sulfuric acid causes protonation of the alkoxide ion, followed by acid-
catalyzed dehydration to afford the highly conjugated diene shown below. 
 
 
 
 
 
 
 
 
 
 
 
www.MyEbookNiche.eCrater.com

Mais conteúdos dessa disciplina