Logo Passei Direto
Buscar

Ferramentas de estudo

Material
páginas com resultados encontrados.
páginas com resultados encontrados.

Prévia do material em texto

852 CHAPTER 21 
 
location between the two carbonyl groups, and the  
position bears the keto group: 
 
 
 
Since the two partners are different, we use a crossed 
Claisen condensation. LDA is used as the base in the 
first step, and the final step of the process is aqueous 
acidic work-up, as shown: 
 
 
 
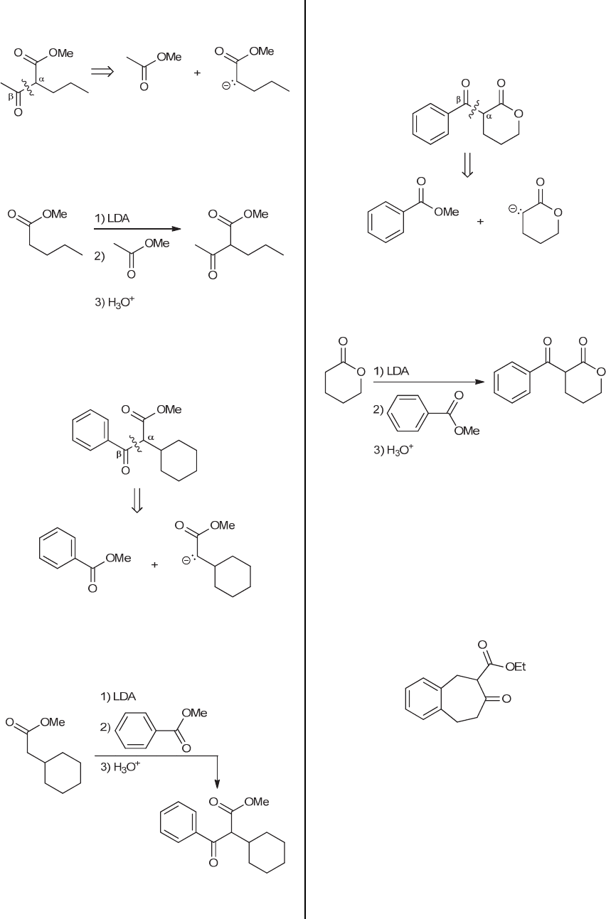
(d) We first identify the  and  positions, and then 
apply a retrosynthetic analysis. The  position is the 
location between the two carbonyl groups, and the  
position bears the keto group: 
 
 
 
Since the two partners are different, we use a crossed 
Claisen condensation. LDA is used as the base in the 
first step, and the final step of the process is aqueous 
acidic work-up, as shown: 
 
 
 
 
(e) We first identify the  and  positions, and then 
apply a retrosynthetic analysis. The  position is the 
location between the two carbonyl groups, and the  
position bears the keto group: 
 
 
 
Since the two partners are different, we use a crossed 
Claisen condensation. LDA is used as the base in the 
first step, and the final step of the process is aqueous 
acidic work-up, as shown: 
 
 
 
 
21.27. 
(a) This is an example of an intramolecular Claisen 
condensation (called a Dieckmann cyclization). The  
position of one ester group is deprotonated, and the 
resulting enolate functions as a nucleophile and attacks 
the other carbonyl group within the same structure. As a 
result, a ring is formed, giving a tetrahedral intermediate. 
The carbonyl group is then reformed via loss of an 
ethoxide ion, giving a -ketoester: 
 
 
 
Under these basic conditions, the -ketoester is 
deprotonated to give a doubly-stabilized enolate, 
requiring acidic work-up in order to regenerate the -
ketoester above. 
 
 
 
(b) This is an example of an intramolecular Claisen 
condensation (called a Dieckmann cyclization). The  
position of one ester group is deprotonated, and the 
resulting enolate functions as a nucleophile and attacks 
the other carbonyl group within the same structure. As a 
www.MyEbookNiche.eCrater.com