Prévia do material em texto
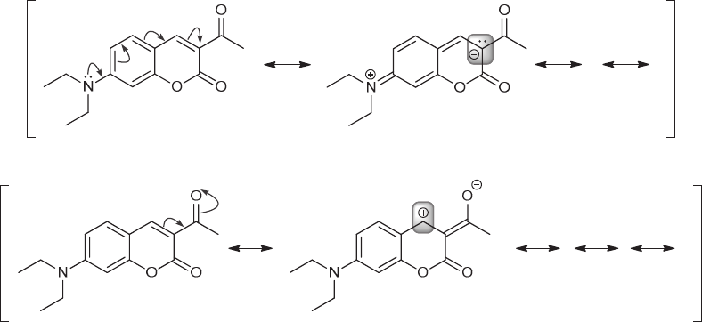
CHAPTER 15 561 A similar effect is expected in compound 2, but the effect should be much stronger, because the presence of the diethylamino group renders C3 even more electron-rich: And the presence of the ketone renders C4 even more electron-deficient, as highlighted below: Therefore, the C3-C4 bond in compound 2 is expected to be even more polarized than the C3-C4 bond in compound 1. So the former is expected to produce a stronger (more intense) signal. www.MyEbookNiche.eCrater.com