Logo Passei Direto
Buscar
Material
páginas com resultados encontrados.
páginas com resultados encontrados.

Prévia do material em texto

586 CHAPTER 16 
 
two locations, leading to the 1,2-adduct and the 1,4-
adduct. At elevated temperature, the thermodynamic 
product (the 1,4-adduct) dominates. 
 
 
 
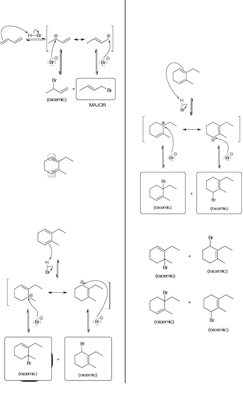
16.37. We first identify the locations where protonation 
can occur. There are four unique positions where 
protonation can occur, although a resonance-stabilized 
intermediate can only be obtained upon protonation of 
one of the ends of the conjugated  system, highlighted 
below: 
 
 
We must explore protonation at each of these positions. 
Let’s begin with protonation of the bottom position, 
which leads to a resonance–stabilized intermediate. 
When we draw both resonance structures, we can see 
that two positions are electrophilic. Nucleophilic attack 
can occur at either of these locations, giving rise to two 
products: 
 
Notice that each of the products possesses a chiral center 
and is therefore produced as a racemic mixture (because 
the bromide ion can attack either face of the allylic 
carbocation with equal likelihood). 
Now let’s consider protonation at the position on top. 
Once again, protonation leads to a resonance–stabilized 
intermediate. When we draw both resonance structures, 
we can see that two positions are electrophilic. 
Nucleophilic attack can occur at either of these locations, 
giving two possible products, as shown: 
 
 
In summary, we expect the following possible products: 
 
 
 
 
16.38. An increase in temperature allowed the system to 
reach equilibrium concentrations, which are determined 
by the relative stability of each product. Under these 
conditions, the 1,4-adducts predominate. Once at 
equilibrium, lowering the temperature will not cause a 
decrease in the concentration of the 1,4-adducts. 
www.MyEbookNiche.eCrater.com

Mais conteúdos dessa disciplina