Logo Passei Direto
Buscar
Material
páginas com resultados encontrados.
páginas com resultados encontrados.
left-side-bubbles-backgroundright-side-bubbles-background

Experimente o Premium!star struck emoji

Acesse conteúdos dessa e de diversas outras disciplinas.

Libere conteúdos
sem pagar

Ajude estudantes e ganhe conteúdos liberados!

Prévia do material em texto

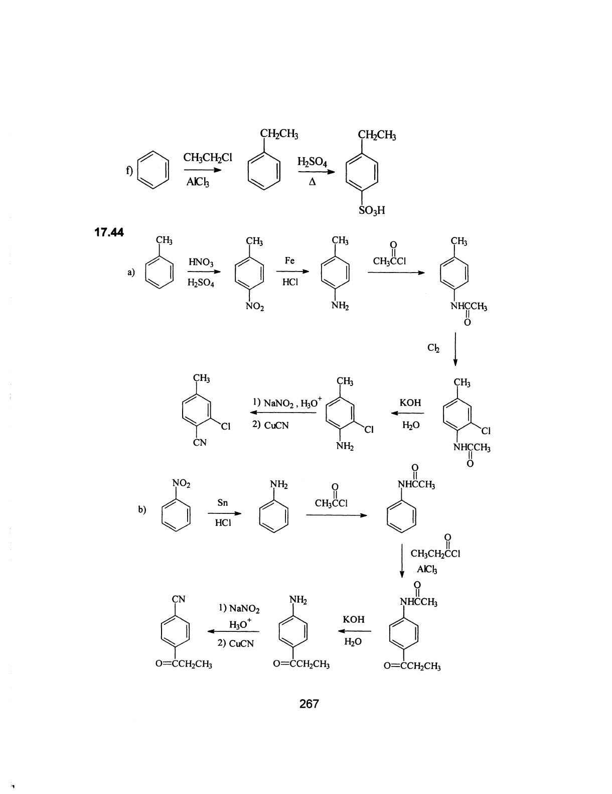
CH₂CH₃ CH₂CH₃ CH₃CH₂Cl f) AICl₃ SO₃H 17.44 CH₃ CH₃ CH₃ CH₃ Fe CH₃CCI a) H₂SO₄ NO₂ NH₂ NHCCH₃ Ch₂ CH₃ CH₃ CH₃ 1) NaNO₂, KOH CI 2) CuCN CI H₂O CN NH₂ NHCCH₃ o NH₂ NHCCH₃ Sn b) HCI CN NH₂ NHCCH₃ 1) NaNO₂ + 2) CuCN H₂O 267

Mais conteúdos dessa disciplina