Logo Passei Direto
Buscar
Material
páginas com resultados encontrados.
páginas com resultados encontrados.
left-side-bubbles-backgroundright-side-bubbles-background

Experimente o Premium!star struck emoji

Acesse conteúdos dessa e de diversas outras disciplinas.

Libere conteúdos
sem pagar

Ajude estudantes e ganhe conteúdos liberados!

Prévia do material em texto

CHAPTER 12 401 
 
:
:
 
 
 
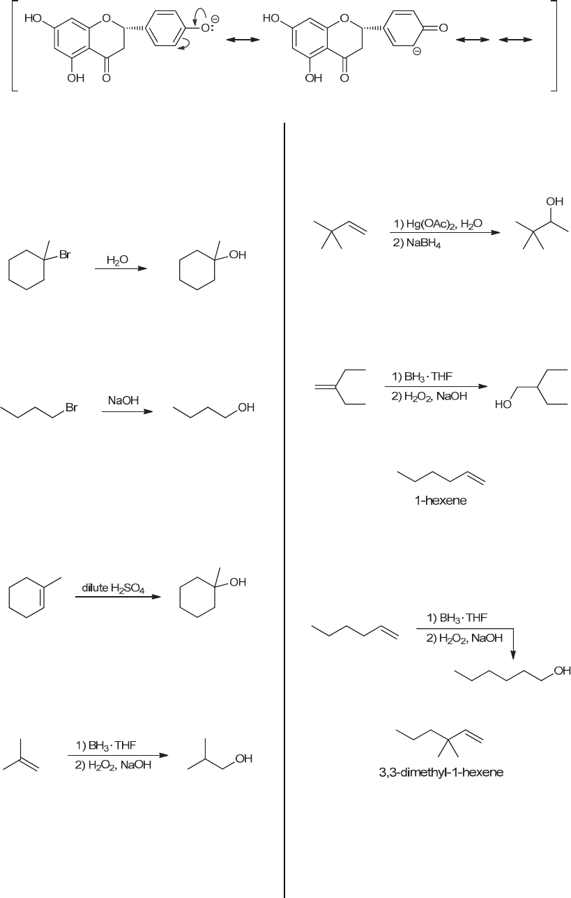
12.7. 
(a) The starting material is an alkyl halide, and the 
product is an alcohol, so we need a substitution reaction. 
The substrate (the alkyl halide) is tertiary, so we must 
use an SN1 process. That is, we must use a weak 
nucleophile (water rather than hydroxide, as the latter 
would give E2). 
 
 
 
(b) The starting material is an alkyl halide, and the 
product is an alcohol, so we need a substitution reaction. 
The substrate (the alkyl halide) is primary, so we must 
use an SN2 process. Therefore, we use a strong 
nucleophile (hydroxide). 
 
 
 
(c) The starting material is an alkene, and the product is 
an alcohol, so we need an addition process. The OH 
group must be installed at the more substituted position, 
so we need to perform a Markovnikov addition of H and 
OH across the alkene. Carbocation rearrangements are 
not a concern in this case (protonation of the alkene 
generates a tertiary carbocation which cannot rearrange), 
so acid-catalyzed hydration will give the desired product. 
 
 
 
(d) The starting material is an alkene, and the product is 
an alcohol, so we need an addition process. The OH 
group must be installed at the less substituted position, so 
we need to perform an anti-Markovnikov addition of H 
and OH across the alkene. This can be achieved via 
hydroboration-oxidation. 
 
 
 
(e) The starting material is an alkene, and the product is 
an alcohol, so we need an addition process. The OH 
group must be installed at the more substituted position, 
so we need to perform a Markovnikov addition of H and 
OH across the alkene. Carbocation rearrangements are a 
concern in this case (protonation of the alkene generates 
a secondary carbocation which can rearrange to give a 
more stable, tertiary carbocation), so acid-catalyzed 
hydration cannot be used. Instead, the desired product 
can be obtained via oxymercuration-demercuration, 
which will install the OH group at the more substituted 
position without carbocation rearrangements. 
 
 
(f) The starting material is an alkene, and the product is 
an alcohol, so we need an addition process. The OH 
group must be installed at the less substituted position, so 
we need to perform an anti-Markovnikov addition of H 
and OH across the alkene. This can be achieved via 
hydroboration-oxidation. 
 
 
 
12.8. 
(a) Let’s begin by drawing the starting material. 
 
 
 
Addition of H and OH across this alkene will provide an 
alcohol. Markovnikov addition will give a secondary 
alcohol, so we must perform an anti-Markovnikov 
addition in order to obtain a primary alcohol. This can 
be achieved via hydroboration-oxidation. 
 
 
 
(b) Let’s begin by drawing the starting material. 
 
 
 
Addition of H and OH across this alkene will provide an 
alcohol. Markovnikov addition will give a secondary 
alcohol, but we must be careful. Protonation of the 
alkene will generate a secondary carbocation which can 
rearrange (via a methyl shift) to give a more stable, 
tertiary carbocation. Therefore, acid-catalyzed hydration 
cannot be used. Instead, the desired product can be 
www.MyEbookNiche.eCrater.com

Mais conteúdos dessa disciplina