Logo Passei Direto
Buscar
Material
páginas com resultados encontrados.
páginas com resultados encontrados.

Prévia do material em texto

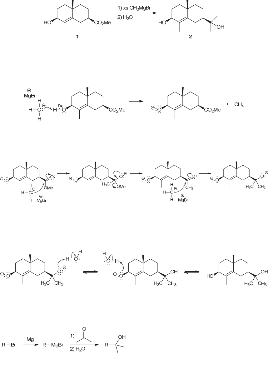
CHAPTER 12 405 
 
 
12.15. 
(a) This synthetic transformation converts an ester to an alcohol with the installation of two new methyl groups. Both 
methyl groups can be installed in the same Grignard reaction, using CH3MgBr (MeMgBr), since two equivalents of a 
Grignard reagent will react with an ester. After the reaction is complete, an aqueous workup then gives the desired 
product. 
 
 
 
(b) In this case, a third equivalent of the Grignard reagent is required because of the presence of the alcohol functional 
group. The acidic proton of the alcohol will react with one equivalent of the Grignard reagent. 
 
(c) In the first step of the mechanism, a proton-transfer reaction occurs. One equivalent of the Grignard reagent 
(methyl magnesium bromide) functions as a base and removes the proton of the alcohol. This step requires two curved 
arrows. 
 
 
In the second step of the mechanism, a second equivalent of the Grignard reagent functions as a nucleophile and attacks 
the C=O bond of the ester. This step requires two curved arrows. The resulting intermediate then ejects a leaving group 
to give a ketone, which also requires two curved arrows. The ketone is then further attacked by a third equivalent of the 
Grignard reagent. Once again, two curved arrows are used to show the nucleophilic attack, resulting in a dianion. 
 
 
 
Finally, the dianion is then protonated upon treatment with water. There are two locations that are protonated, each of 
which requires two curved arrows, as shown. Notice that each anion is protonated in a separate step (this should not be 
drawn as one step with four curved arrows, because there are two distinct processes occurring, and it is unlikely that 
they occur precisely at the same moment). 
 
 
 
 
 
12.16. 
(a) This type of transformation can be achieved via a 
Grignard reaction. 
 
 
However, the starting material has an OH group, which 
is incompatible with a Grignard reaction. To resolve this 
issue, we must first protect the OH group and then 
perform the desired Grignard reaction. Deprotection 
then gives the desired product, as shown. 
 
www.MyEbookNiche.eCrater.com

Mais conteúdos dessa disciplina