Logo Passei Direto
Buscar
Material
páginas com resultados encontrados.
páginas com resultados encontrados.
details

Libere esse material sem enrolação!

Craque NetoCraque Neto

Ao continuar, você aceita os Termos de Uso e Política de Privacidade

Prévia do material em texto

CHAPTER 14 491 
 
With this in mind, let’s consider the following alkene: 
 
 
 
While this molecule does possess some symmetry, you should avoid falling into the trap of calling it a 
symmetrical alkene and erroneously deciding that the C=C double bond will not produce a signal. In fact, 
the dipole moment for this C=C bond is expected to be quite large (because of the combined inductive 
effects of the chlorine atoms. One vinylic position (the one connected to the two chlorine atoms) is more 
electron-deficient (+) than the other vinylic position. As a result, this C=C bond is expected to produce a 
rather strong signal in the IR spectrum. 
 
Solutions 
14.1. 
(a) The CH bond is expected to produce the signal 
with the largest wavenumber, because bonds to H 
typically produce high-energy signals (due to the low 
mass of the hydrogen atom). Among the remaining two 
bonds, the triple bond is stronger than the double bond, 
so we expect the double bond to produce the signal with 
lowest wavenumber. 
 
 
 
(b) Each of the bonds in this case is a single bond. The 
CH bond is expected to produce the signal with the 
larger wavenumber, because bonds to H typically 
produce high-energy signals (due to the low mass of the 
hydrogen atom). 
 
 
 
14.2. 
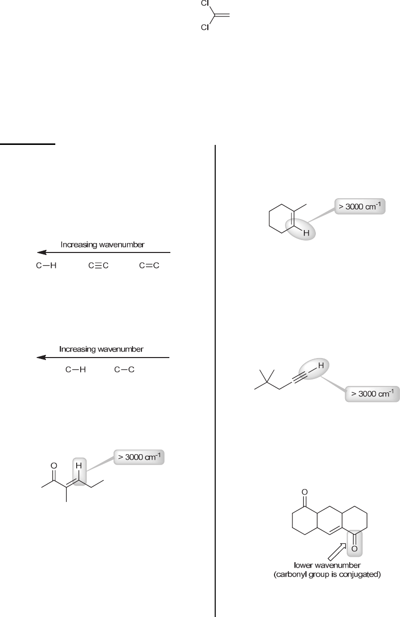
(a) This compound exhibits an sp2 hybridized carbon 
atom that is connected to a hydrogen atom. As such, this 
CH bond (highlighted) should produce a signal above 
3000 cm-1 (at approximately 3100 cm-1). 
 
 
 
(b) This compound has three sp2 hybridized carbon 
atoms, but none of them are connected to hydrogen 
atoms. And there are no sp hybridized carbon atoms. 
Therefore, we do not expect a signal above 3000 cm-1. 
 
(c) This compound has two sp hybridized carbon atoms, 
but neither of them are connected to hydrogen atoms. 
And there are no sp2 hybridized carbon atoms. 
Therefore, we do not expect a signal above 3000 cm-1. 
 
(d) This compound exhibits an sp2 hybridized carbon 
atom that is connected to a hydrogen atom. As such, this 
C-H bond (highlighted) should produce a signal above 
3000 cm-1 (at approximately 3100 cm-1). 
 
 
 
(e) This compound has two sp2 hybridized carbon atoms, 
but neither of them are connected to hydrogen atoms. 
And there are no sp hybridized carbon atoms. Therefore, 
we do not expect a signal above 3000 cm-1. 
 
(f) This compound exhibits an sp hybridized carbon 
atom that is connected to a hydrogen atom. As such, this 
C-H bond (highlighted) should produce a signal above 
3000 cm-1 (at approximately 3300 cm-1). 
 
 
 
14.3. 
(a) One of the carbonyl groups (upper left) is not 
conjugated, so it is expected to produce a signal at 
approximately 1720 cm-1. The other carbonyl group 
(bottom right) is conjugated to a C=C  bond, so it is 
expected to produce a signal at approximately 1680 cm-1. 
 
 
 
(b) One of the ester groups (bottom right) is not 
conjugated, so it is expected to produce a signal at 
www.MyEbookNiche.eCrater.com

Mais conteúdos dessa disciplina