Logo Passei Direto
Buscar
Material
páginas com resultados encontrados.
páginas com resultados encontrados.

Prévia do material em texto

244 CHAPTER 8 
 
Notice that this intermediate exhibits both an 
electrophilic center and a nucleophilic center. That is, 
the reactive centers are tethered together, via a chain of 
methylene (CH2) groups. As such, a ring is formed in 
the following intramolecular nucleophilic attack, which 
is shown with one curved arrow: 
 
 
Finally, water functions as a base and removes a proton, 
thereby generating the product. This final step is a 
proton transfer step, and therefore requires two curved 
arrows, as shown: 
 
 
 
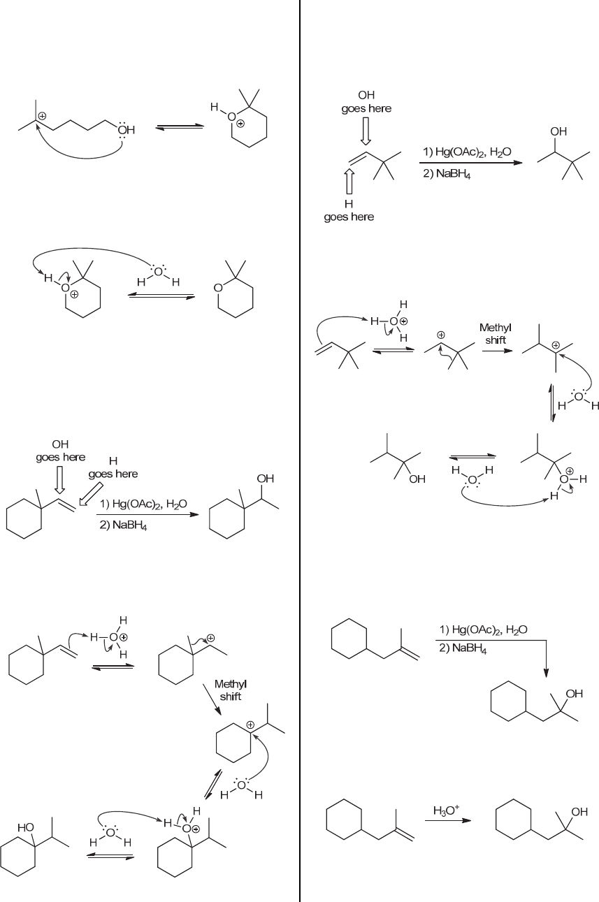
8.12. 
(a) Oxymercuration-demercuration gives Markovnikov 
addition of water (H and OH) without carbocation 
rearrangements. That is, the OH group ends up at the 
more substituted (secondary) position, and the proton 
ends up at the less substituted (primary) position: 
 
 
 
If the same alkene were treated with aqueous acid, the 
resulting acid-catalyzed hydration would involve a 
carbocation rearrangement: 
 
 
 
(b) Oxymercuration-demercuration gives Markovnikov 
addition of water (H and OH) without carbocation 
rearrangements. That is, the OH group ends up at the 
more substituted (secondary) position, and the proton 
ends up at the less substituted (primary) position: 
 
 
 
If the same alkene were treated with aqueous acid, the 
resulting acid-catalyzed hydration would involve a 
carbocation rearrangement: 
 
 
 
(c) Oxymercuration-demercuration gives Markovnikov 
addition of water (H and OH) without carbocation 
rearrangements. That is, the OH group ends up at the 
more substituted (tertiary) position, and the proton ends 
up at the less substituted (primary) position. 
 
 
 
In this case, acid-catalyzed hydration gives the same 
product, because the intermediate tertiary carbocation 
does not undergo rearrangement: 
 
 
 
8.13. 
(a) Oxymercuration-demercuration involves the addition 
of H-Z across the double bond (where Z = OH when 
www.MyEbookNiche.eCrater.com

Mais conteúdos dessa disciplina