Logo Passei Direto
Buscar
Material
páginas com resultados encontrados.
páginas com resultados encontrados.
details

Libere esse material sem enrolação!

Craque NetoCraque Neto

Ao continuar, você aceita os Termos de Uso e Política de Privacidade

Prévia do material em texto

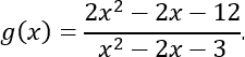
<p>No estudo do cálculo, uma questão fundamental é entender como as funções se comportam em diferentes situações. Uma ferramenta importante para essa análise é o conceito de limite de uma função. O limite de uma função descreve o valor que a função se aproxima à medida que a variável independente se aproxima de um determinado ponto. Essa noção é essencial para compreender o comportamento de uma função em pontos críticos, como singularidades ou extremos locais.</p><p>Diante disso, considere a função g, definida por</p><p>Responda:</p><p>a) (3 pontos) Determine o limite da função g, quanto x tende a menos infinito.</p><p>b) (3 pontos) Determine o limite da função g, quando x tende a 3.</p><p>c) (4 pontos) Verifique com auxílio dos limites laterais, o comportamento da função na assíntota vertical x = -1.</p><p>image1.png</p>

Mais conteúdos dessa disciplina